ARCHIVÉ – Coûts de l’offre gazière dans l’Ouest canadien en 2009 – Note d’information sur l’énergie
Cette page Web a été archivée dans le Web
L’information dont il est indiqué qu’elle est archivée est fournie à des fins de référence, de recherche ou de tenue de documents. Elle n’est pas assujettie aux normes Web du gouvernement du Canada et elle n’a pas été modifiée ou mise à jour depuis son archivage. Pour obtenir cette information dans un autre format, veuillez communiquer avec nous.
ISSN 1917-5078
Note d’information sur l’énergie
Novembre 2010
Droit d’auteur et droit de reproduction
Liste des sigles et des abréviations
| FTN | flux de trésorerie nets |
| HSC | Horseshoe Canyon |
| IPC | indice des prix à la consommation |
| LGN | liquides de gaz naturel |
| MH | méthane de houille |
| ONÉ | Office national de l’énergie |
| TDR | taux de rendement |
| TGN de l’Alberta | transfert de propriété du gaz dans le réseau de NOVA |
| VAN | valeur actualisée nette |
Liste des unités et des facteurs de conversion
| Unités | |
|---|---|
| m³ | mètre cube |
| Mpi³ | million de pieds cubes |
| Gpi³ | milliard de pieds cubes |
| m³/j | mètres cubes par jour |
| 10³m³/j | milliers de mètres cubes par jour |
| Mpi³/j | millions de pieds cubes par jour |
| Gpi³/j | milliards de pieds cubes par jour |
| GJ | gigajoule |
Facteurs de conversion courants du gaz naturel
1 Mm³ (million de mètres cubes) (à 101,325 kPa abs. et 15 oC) = 35,3 Mpi³ (à 14,73 lb/po2 abs. et 60 oF)
1 GJ = 0,95 kpi³ (millier de pieds cubes) = 0,95 MBTU = 0,95 décatherme
Notation du prix
Au Canada, le prix de référence du gaz naturel est l’indice TGN de l’Alberta et il est exprimé en $CAN/GJ.
Table des matières
- Avant-Propos
- Aperçu
- Méthodologie
- Résultats
- Observations
- Annexes
- Annexe 1 - Facteurs d’ordre financier
- Annexe 2 - Méthodologie de la production et intrants
- Annexe 3 - Analyse économique
- Annexe 4 - Formations
- Annexe 5 - Groupes
- Annexe 6 - Paramètres de diminution de la production
- Annexe 7 - Composition du gaz
- Annexe 8 - Autres paramètres des puits
- Annexe 9 - Ratios des formations par groupe
- Annexe 10 - Dépenses en immobilisations en 2009
- Annexe 11 - Frais d’exploitation et de traitement en 2009
- Annexe 12 - Taux de rendement en 2009
- Annexe 13 - Comparaison des valeurs clés de 2007 et 2009
- Annexe 14 - Composantes du coût de l’offre en 2009
Avant-Propos
L’Office national de l’énergie (l’Office) est un organisme fédéral indépendant créé en 1959 afin de promouvoir, dans l’intérêt public canadien[1], la sûreté et la sécurité, la protection de l’environnement et l’efficience économique, en vertu du mandat conféré par le Parlement au chapitre de la réglementation des pipelines, de la mise en valeur des ressources énergétiques et du commerce de l’énergie.
[1] L’intérêt public englobe les intérêts de tous les Canadiens et Canadiennes; il s’agit d’un équilibre entre les intérêts économiques, environnementaux et sociaux qui change en fonction de l’évolution des valeurs et des préférences de la société. L’Office soupèse les conséquences pertinentes de ces intérêts lorsqu’il rend une décision.
Les principales responsabilités de l’Office consistent à réglementer la construction, l’exploitation et la cessation d’exploitation des oléoducs et gazoducs internationaux et interprovinciaux, ainsi que des lignes internationales de transport d’électricité et de lignes interprovinciales désignées. L’Office réglemente en outre les droits et tarifs des pipelines de son ressort, les importations et les exportations de gaz naturel, ainsi que les exportations de pétrole, de liquides de gaz naturel (LGN) et d’électricité. Il réglemente enfin l’exploration et la mise en valeur du pétrole et du gaz dans les régions pionnières et dans les zones extracôtières qui ne sont pas assujetties à des ententes de gestion provinciales ou fédérales.
À titre d’organisme conseil, l’Office analyse les questions relevant de sa compétence et fournit des renseignements et des avis relativement à l’offre, au transport et à l’utilisation d’énergie. Il publie des évaluations périodiques pour informer les Canadiens sur les tendances, faits marquants et enjeux pouvant affecter les marchés énergétiques canadiens.
Le présent rapport est une note d’orientation qui traite d’un aspect particulier des produits énergétiques de base. Il propose une analyse des coûts de l’offre de gaz naturel dans l’Ouest canadien en 2009. Il fait suite au premier rapport traitant de cette question, Coûts de l’offre gazière dans l’Ouest canadien en 2007, publié en août 2008[2].
[2] Coûts de l’offre gazière dans l’Ouest canadien en 2007 - Note d’information sur l’énergie
Pendant la rédaction du rapport, l’Office a obtenu des données précieuses sur les puits, notamment les renseignements sur les coûts, de divers producteurs. Il apprécie l’information et les commentaires qui lui ont été communiqués et il tient à remercier tous les participants qui ont contribué de leur temps comme de leur expertise.
Quiconque souhaite utiliser le présent rapport dans une instance réglementaire devant l’Office peut le soumettre à cette fin, comme c’est le cas pour tout autre document public. Une partie qui agit ainsi se trouve à adopter l’information déposée et peut se voir poser des questions au sujet de cette dernière.
Le présent rapport ne fournit aucune opinion relativement à l’approbation ou au rejet d’une demande d’autorisation donnée. L’Office étudie chaque demande en se fondant sur les documents qui lui sont soumis en preuve à ce moment.
Aperçu
Ce rapport a pour but d’analyser le coût moyen de la production gazière des puits forés en 2009 dans l’Ouest canadien. Il ne traite pas de la production issue des installations qui existaient déjà. Dans certains cas, par exemple le traitement du gaz découlant d’arrangements à long terme ou l’utilisation de l’infrastructure existante, les facteurs économiques sont différents de ceux qui sont utilisés pour l’analyse qui va suivre, dont les résultats permettent d’indiquer si la production gazière était susceptible d’augmenter ou de diminuer dans certaines régions selon les conditions du marché en 2009.
Le coût moyen de l’offre[3] de gaz naturel produit à partir de nouvelles sources en 2009 dans l’Ouest canadien a diminué par rapport à 2007, mais pas autant que le prix moyen du gaz. Ce dernier s’établissait à 3,76 $/GJ en 2009 dans l’Ouest canadien, comparativement à 6,11 $/GJ en 2007. C’était une bonne nouvelle pour les consommateurs mais non pour les producteurs. Le coût moyen de l’offre du gaz naturel produit à partir de nouvelles sources dans l’Ouest canadien a fléchi de 7,88 $/GJ en 2007 à 6,97 $/GJ en 2009, ce qui démontre que les puits de gaz forés en 2009, en moyenne, n’étaient pas rentables, les prix courants ne permettant pas de récupérer le total des coûts pendant la durée de production des puits. Les coûts de l’offre variaient beaucoup cependant et, dans certaines zones gazières importantes, les facteurs économiques étaient plus positifs. Dans l’ensemble, le coût de l’offre de gaz de réservoir étanche, de gaz de schiste et de gaz classique des zones profondes était le moins élevé, tandis que celui du gaz classique des zones peu profondes était plus élevé. En conséquence, l’activité au sein de l’industrie était en grande partie concentrée dans les zones plus rentables.
[3] Le coût de l’offre correspond au prix minimum requis pour produire un gigajoule (GJ) de gaz naturel. Il comprend tous les frais, redevances et impôts, de même qu’un taux de rendement (TDR) après impôts de 15 %.
En termes d’équivalence énergétique, le prix du pétrole[4] était près de trois fois plus élevé que celui du gaz en 2009. Ce facteur a favorisé le déplacement des investissements vers la mise en valeur du pétrole au détriment du gaz naturel. La proportion des forages ciblant du gaz a chuté à moins de 50 % dans l’Ouest canadien, comparativement à plus de 60 % dans les années précédentes. Le prix des liquides extraits du gaz naturel, soit le propane, le butane et les pentanes plus, a tendance à évoluer en fonction de celui du pétrole. Dans certains cas, cela s’est traduit par des bénéfices plus élevés pour les producteurs de gaz naturel dont la production comprenait des liquides (LGN). Les producteurs de gaz naturel se sont concentrés de plus en plus sur les ressources à plus forte teneur en LGN, par exemple le gaz de réservoir étanche provenant de la zone de Montney. L’attention accordée aux réserves gazières à forte teneur en liquides s’est maintenue en 2010, tant au Canada qu’aux États-Unis.
[4] L’indice Edmonton Par s’est établi en moyenne à 10,82 $/GJ (66,20 $/baril) en 2009.
Malgré la hausse des prix du pétrole et le niveau inférieur des prix du gaz par rapport au coût moyen de l’offre en 2009, les forages ciblant du gaz se sont poursuivis. Certains producteurs comptent sur les flux de trésorerie pour rester en exploitation. Certains ont misé sur une hausse des prix du gaz au-delà de 2009. D’aucuns ont pris une position couverte sur leur production à des prix supérieurs au prix du marché. Pour d’autres, les coûts différentiels étaient moins élevés en raison de la nature des avoirs fonciers dont ils disposaient, ou de leur infrastructure comportant notamment des réseaux de collecte de gaz ou des usines de traitement du gaz. Enfin, de petites entreprises ont continué d’exploiter les zones de gaz à faible profondeur ou de méthane de houille (MH) étant donné qu’ils n’ont pas les moyens de forer des puits à grande profondeur[5]. La plus grande partie du gaz produit en 2009 provenait de puits forés avant cette année-là. Dès lors qu’un producteur peut faire ses frais permanents, il continuera de produire du gaz. Si les prix devaient chuter sous les frais d’exploitation de certains puits, des producteurs pourraient opter pour l’interruption d’une partie de leur production, comme cela s’est produit en septembre 2009 et de nouveau en septembre 2010.
[5] Certains producteurs ont également des connaissances spécialisées ou des avoirs fonciers existants dont ils peuvent tirer profit.
Le présent rapport comprend une vue d’ensemble des régions et des groupes utilisés dans l’analyse, un résumé de la méthode utilisée pour calculer les coûts de l’offre et les résultats de l’analyse économique. Les annexes comprennent une description détaillée de la méthodologie, des données sur les régions et les groupes, des hypothèses de départ et des résultats complémentaires.
Méthodologie
Le gaz naturel se trouve à des profondeurs géologiques diverses et provient d’un large éventail de formations. Il peut tirer son origine de sources classiques ou non et les coûts diffèrent en conséquence. Dans la présente étude, l’Ouest canadien[6,7] est divisé sur les plans géographique et géologique selon des catégories spécialement choisies pour mettre en évidence les régions où les coûts et paramètres de production sont similaires, ce qui a donné 88 groupes au total. La répartition régionale modifiée[8] est présentée à la figure 1. Les quatre types de ressources analysés sont le gaz classique, le gaz de réservoir étanche, le gaz de schiste et le MH. D’autres détails, soit le raisonnement derrière la classification et les méthodes utilisées pour obtenir les données d’entrée sont présentés à l’annexe 2.
[6] Cette classification es élaborée par un service d’information de petroCUBE, qui mesure les coûts des puits et fournit des données relatives au rendement.
[7] petroCUBE est une création de geoLogic Systems Ltd. Les données de petroCUBE sont utilisées et publiées avec l’autorisation de geoLogic.
[8] D’après petroCUBE, la Saskatchewan ne constitue qu’une seule région. Pour la présente étude, la province a été divisée en deux régions productrices de gaz naturel : l’ouest et le sud-ouest. Aucun puits de gaz n’a été foré dans l’est de la Saskatchewan en 2009 (cette région produit du pétrole) et par conséquent, l’étude n’en tient pas compte.
Figure 1 : Carte régionale - Bassin sédimentaire de l’Ouest canadien
Source : petroCUBE
Les paramètres d’un puits moyen de chaque groupe sont estimatifs. Ils tiennent compte du taux de production initiale, de la courbe de diminution de la production, de la profondeur moyenne, de la composition du gaz, de la diminution du volume et du taux de réussite. Les données de petroCUBE sur les coûts, complétées par l’information du domaine public et les consultations auprès de l’industrie, ont été calculées pour définir le puits moyen par région et par formation. Des renseignements supplémentaires sur la catégorisation et les intrants sont présentés à l’annexe 2.
Pour qu’un puits de gaz soit rentable, le total des revenus (moins les frais d’exploitation, les redevances, les impôts et le TDR) doit compenser les coûts initiaux (dépenses en immobilisations et terrains). Les coûts de l’offre ont été calculés pour les puits ne présentant pas de risque (il est supposé que le puits foré produira au taux attendu) et les puits à risque (il est supposé que le puits ne sera pas productif, c.-à-d. qu’aucun hydrocarbure ne sera découvert, le puits sera abandonné et les terrains seront remis en état). Les taux de réussite sont présentés au tableau 1.
Des flux de trésorerie mensuels ont été calculés pour un puits moyen dans chaque groupe[9] sur toute la durée de production du puits[10]. Les flux de trésorerie représentent les revenus[11] moins les charges au cours de la durée de vie utile de chaque puits. Les charges comprennent les dépenses en immobilisations, les coûts fonciers ainsi que les frais d’exploitation, de traitement et de remise en état. Les redevances et les impôts qui existaient en 2009 sont inclus. Un taux de rendement de 15 %, qui justifie les investissements, est inclus[12].
[9] Dans cette étude, des moyennes ont été utilisées pour regrouper le rendement de milliers de puits. Chaque société productrice est dans une situation différente par rapport à ses propres avoirs fonciers, à sa structure de coûts, à son infrastructure et à son expérience.
[10] Il est suppose que la production est interrompue au cours du premier mois durant lequel les produits sont inférieurs aux charges permanentes (frais d’exploitation et de traitement, redevances et impôts).
[11] Tirés du gaz naturel (méthane) et des LGN (propane, butane et pentanes plus).
[12] Ce taux de 15 % après impôts signifie que le TDR avant impôts est plus élevé.
Le niveau de prix qui génère des revenus suffisants pour contrebalancer les charges et réaliser un rendement sur les investissements sert à déterminer le coût de l’offre pour un groupe de ressources donné. L’analyse est effectuée dans l’hypothèse que seuls les puits qui donnent de bons résultats ont été forés (scénario sans risque) et que les coûts des puits infructueux (scénario avec risque)[13] et les sensibilités, par exemple aux prix du gaz ou à l’évolution des dépenses en immobilisations, ont été ajoutés. Des détails supplémentaires relativement aux critères économiques intégrés à la méthodologie de l’analyse sont présentés à l’annexe 3.
[13] Voir l’annexe A2.3.3.
Résultats
Coûts de l’offre
Les coûts de l’offre et délais de recouvrement[14] pour chacun des groupes de ressources figurent au tableau 1. La majorité de la production des puits forés en 2009 provenait de groupes de ressources qui présentent des antécédents de production suffisants pour produire les paramètres de la courbe de diminution. Quelques groupes ne présentaient pas les données voulues (le nombre de puits producteurs était insuffisant ou il s’agissait d’un nouveau groupe) pour établir des profils de production antérieure. En ce qui concerne quelques autres groupes, les données de production variaient au point de ne pas pouvoir fournir une courbe de diminution de la production valable. Les groupes de ces deux catégories ont été évalués selon une courbe de diminution de la production estimative et sont présentés dans le tableau 1 sous le titre de « groupes à courbe de diminution estimative ».
[14] La récuperation a lieu lorsque la somme cumulée de la valeur actualisée des flux de trésorerie, à partir de la première période, est égale à zéro.
Tableau 1 : Coûts de l’offre en 2009 et délai de recouvrement pour chaque groupe
Ce tableau est disponible en format tableur Excel [EXCEL 268 ko].
La moyenne pondérée[15] du coût de l’offre, avec un taux de réussite de 100 % (sans risque), dans l’Ouest canadien, s’est établie à 6,81 $/GJ (TGN de l’Alberta, en dollars canadiens). En se basant sur les taux de réussite de 2009, la moyenne pondérée du coût de l’offre (avec risques) s’est située à 6,97 $/GJ. Les taux de réussite des puits de mise en valeur dans l’Ouest canadien sont relativement élevés (moyenne pondérée de 96 % en 2009) en raison de l’état avancé de la mise en valeur de beaucoup de ces ressources[16]. Par conséquent, les coûts de l’offre (avec risques) ne sont généralement pas beaucoup plus élevés que ceux des versions sans risque. Les coûts moyens de l’offre (avec risques et sans risque) dans chaque région sont présentés à la figure 2.
[15] Obtenue de la production totale en 2009 des puits de mise en valeur forés en 2009, par groupe.
[16] Les puits d’exploration, d’essai, d’injection et d’eau ne sont pas inclus dans l’analyse étant donné qu’il existe peu de données sur les coûts.
Compte tenu du prix quotidien moyen de 3,76 $/GJ pour le TGN de l’Alberta et d’un coût de l’offre moyen de 6,97 $/GJ, la mise en valeur de nouvelles sources de gaz, en moyenne, n’a pas été rentable en 2009. Certains groupes ont toutefois obtenu des rendements positifs. Ces résultats sont conformes à ceux qu’estiment l’industrie en général et l’on en veut pour autre preuve le déplacement de l’activité gazière des sources de gaz classique à faible profondeur vers les zones de gaz de réservoir étanche et de gaz de schiste en profondeur de l’Alberta et de la Colombie- Britannique. Le coût moyen de l’offre en 2009 s’est situé à 7,28 $/GJ en Alberta, à 5,96 $/GJ en C.-B. et à 12,87 $/GJ en Saskatchewan. en 2007, les coûts moyens en C.-B. et en Alberta étaient presque égaux, soit 7,81 $ et 7,84 $ respectivement. Celui de la Saskatchewan était de 9,53 $. Le coût a été plus élevé en Saskatchewan parce que l’activité croissante dans les zones pétroliféres de Bakken et de Shaunavon a fait grimper le coût moyen des terrains. Dans cette province, l’industrie se concentre sur la production de pétrole et l’exploitation gazière ne profite pas d’économies d’échelle.
en 2007, le coût moyen de l’offre de gaz naturel s’est élevé à 7,88 $/GJ, montant plus élevé que le prix du marché moyen de 6,11 $/GJ. La diminution du coût moyen de l’offre au cours des deux années découle principalement d’une augmentation du taux de production moyen des puits, lequel est passé de 0,92 Mpi³/j à 1,52 Mpi³/j. Ce dernier taux a éclipsé la hausse des dépenses en immobilisations du puits moyen, qui est passé de 2,02 M$/puits en 2007 a 2,46 M$/puits en 2009. La hausse du taux de production moyen et celle des dépenses en immobilisations moyennes dans l’Ouest canadien ont été en grande partie le fruit de la mise en valeur du gaz de réservoir étanche en Alberta et des zones du nord-est de la C.-B. en 2009, y compris le gaz de réservoir étanche de Montney et le gaz de schiste de Horn River. Les dépenses en immobilisations de ces puits étaient élevées, plus de 5 M$/puits, tout comme leur taux de production, c.-à-d. de 3,5Mpi³/j et plus. Le coût moyen de l’offre du gaz de réservoir étanche de Montney, dans la région de Fort St. John, s’est situé à 3,92 $/GJ et celui du gaz de schiste de Horn River, dans le nord-est de la C.-B., a été de 4,68 $/GJ.
Les variations des frais d’exploitation et des frais de traitement entre 2007 et 2009 se sont pratiquement annulées l’une l’autre. Les frais d’exploitation moyens ont fléchi de 0,50 $/GJ en 2007 à 0,43 $/GJ en 2009 alors que les frais de traitement moyens sont passés de 0,52 $/GJ en 2007 à 0,62 $/GJ en 2009. Les hausses des frais de traitement ont résulté de la production accrue dans les zones à forte teneur en LGN et des frais de traitement y afférents, notamment la zone de Montney dans la région de Fort St. John. La baisse des frais d’exploitation a découlé, en partie du moins, des coûts plus faibles au titre des combustibles et de l’électricité. Les frais de forage et de service ont baissé depuis 2007 à mesure que l’activité se faisait moins intense et que les entreprises de forage devaient réduire leurs taux de service dans un marché qui se révélait de plus en plus concurrentiel. L’amélioration de l’efficience des activités de forage a également contribué à réduire les frais de forage. D’autres intrants, tels que le combustible, ont chuté par rapport aux pointes de 2007, tandis que le coût des matériaux, comme le cuvelage et les tubages, du transport et de la location d’équipement s’est accru depuis 2007. Dans l’ensemble, les dépenses en immobilisations par puits ont été plus élevées en 2009 parce que les puits, en moyenne, ont été forés à une plus grande profondeur et que les forages ont été plus complexes en raison du creusement de puits horizontaux à partir de trous verticaux.
Figure 2 : Moyenne des coûts de l’offre par région en 2009
Sensibilité au prix et aux dépenses en immobilisations
Des essais de sensibilité ont été effectués pour les six groupes dont les nouveaux totaux de production étaient les plus élevés en 2009. Ces six groupes représentent une grande variété d’emplacements et de profondeurs de puits, et les quatre types de ressources gazières.
Pour les besoins du calcul de la sensibilité des coûts au prix du gaz, le TDR est calculé en fonction d’une fourchette de prix hypothétiques (TGN de l’Alberta) allant de 3 $/GJ à 12 $/GJ. Tel que le montre la figure 3, si le prix du gaz est de 4 $/GJ, les groupes de gaz classique en profondeur, de gaz de réservoir étanche et de gaz de schiste affichent des rendements positifs tandis que les groupes recelant du gaz à faible profondeur et du MH doivent se vendre plus de 6 $/GJ pour obtenir des rendements positifs. Les détails relatifs à la sensibilité au prix du gaz de tous les groupes sont présentés à l’annexe 12.
Figure 3 : Taux de rendement en fonction des différents prix du gaz en 2009 (sans risque)
La figure 4 illustre comment les coûts de l’offre changent si les dépenses en immobilisations[17] augmentent ou diminuent de 25 % pour les six groupes[18]. Certains groupes étaient légèrement plus sensibles que d’autres aux variations des dépenses en immobilisations. Les coûts de l’offre varient de moins de 25 % si les dépenses en immobilisations varient de 25 % étant donné qu’il y a d’autres dépenses, comme les frais d’exploitation et de traitement, les redevances et les impôts. Les variations du coût de l’offre ont été le plus souvent symétriques pour chacun des groupes, que les dépenses en immobilisations aient augmenté ou diminué. Les changements sont marqués par une légère asymétrie selon les déductions relatives aux redevances et aux impôts.
[17] Forage de puits, raccordements, terrains et remise en état.
[18] Il convient de noter que les exemples de sensibilité sont fondés sur un scénario sans risque. Cette méthode a été utilisée pour faciliter la comparaison des dépenses en immobilisations. Elle permet de se limiter à un montant global de dépenses en immobilisations pour le forage et la complétion au lieu de tenir compte de la moyenne pondérée de ces dépenses pour le forage et la complétion ainsi que le forage et l’abandon, de même que d’un niveau de production attendu plus faible que celui présenté à l’annexe 6, selon la probabilité de réussite. Cependant, les résultats avec risques et sans risque seraient équivalents pour le MH, région HSC, le gaz de réservoir étanche de Fort St. John et le gaz de schiste du nord-est de la C.-B. (taux de réussite de 100 %), et ils seraient très semblables pour les autres régions (tous les taux de réussite se situent dans la plage supérieure des 90 %).
Figure 4 : Sensibilité au coût de l’offre et aux dépenses en immobilisations en 2009 (sans risque)
Composantes du coût de l’offre
Les figures 5 et 6 présentent les composantes du coût de l’offre pour chacun des six groupes les plus importants, de même que leur moyenne pour chaque province et l’Ouest canadien. Les dépenses en immobilisations et frais d’exploitation représentent une partie importante du coût dans les six groupes. Les impôts et redevances varient d’une province à l’autre, tout comme la déduction pour amortissement et d’autres déductions. Le taux de redevances moyen se situait à 19 % en Alberta et à 15 % en C.-B. Le TDR dépend du délai de recouvrement des capitaux investis (voir le tableau 1) : plus le délai est long, plus le rendement est élevé, comme on peut le constater en comparant les groupes Montney et Horn River. Le coût de l’offre du MH s’est accru de 2007 en 2009, en raison notamment de dépenses en immobilisations accrues. Cependant, ces dépenses étaient légèrement plus faibles dans les autres groupes d’exploitation à faible profondeur du sud de l’Alberta, par suite du fléchissement continu de l’activité depuis 2007 et de la chute des prix des terrains. Les coûts de l’offre ont été plus faibles pour les groupes d’exploitation à grande profondeur en 2009 comparativement à 2007, en raison de la diminution des dépenses en immobilisations et de la hausse des taux de production. Les intrants et les coûts de l’offre en 2007 et en 2009 sont comparés dans l’annexe 13. L’annexe 14 contient une liste des composantes du coût de l’offre en 2009 pour chaque groupe.
Figure 5 : Composantes du coût de l’offre en 2009 (sans risque)19
[19] Aucun résultat pour les groups Montney et Horn River en 2007; ces groupes étant relativement nouveaux, les données étaient limitées ou inexistantes.
Figure 6 : Moyenne des composantes du coût de l’offre en 2009 (sans risque)
Observations
L’activité de forage gazier dans l’Ouest canadien est demeurée faible comparativement aux années grasses de 2005 à 2008. Le niveau d’activité dépend du prix du gaz et du coût de la production. La présente étude illustre la structure des coûts moyens dans l’Ouest canadien et détermine la rentabilité relative de divers projets de mise en valeur. Les résultats ont été positifs dans certaines zones et négatifs ailleurs.
Pour ce qui est de l’avenir, les prix du gaz resteront relativement faibles en 2010; on s’attend toutefois à ce que les coûts de l’offre continuent de diminuer dans certaines zones. Les ressources gazières à forte teneur en LGN ont de nouveau fait l’objet de forages accrus en 2010, les prix du pétrole demeurant élevés comparativement à ceux du gaz naturel. Divers facteurs ont donné lieu à des baises du coût de l’offre : connaissance plus approfondie des nouvelles ressources, activités de forage plus efficientes, diminution du coût des fracturations hydrauliques, capacité de forer plusieurs puits à partir d’une même plateforme et forage horizontal multilatéral. Les acquisitions vont se poursuivre, surtout dans les zones de gaz de réservoir étanche et de gaz de schiste à plus grande profondeur au Canada et aux États-Unis, les plus grands producteurs bénéficiant d’économies d’échelle. L’industrie a étalement profité de coentreprises créées par des investisseurs étrangers et des producteurs de gaz de schiste du Canada et des États-Unis pour obtenir des rendements plus élevés et approfondir leurs connaissances.
Annexes
Annexe 1 - Facteurs d’ordre financier
Les prix élevés du pétrole (un prix moyen de 66,20 $/baril à Edmonton en 2009, soit l’équivalent énergétique de 10,82 $/GJ) ont fait en sorte que les producteurs de pétrole classique et non classique trouvent l’option d’investir dans des projets pétroliers plus intéressante. Ainsi, les budgets des activités liées au gaz naturel ont été sabrés tandis que ceux des activités pétrolières ont augmenté. Cette situation se reconnaissait facilement par l’augmentation du nombre de forages d’exploration pétrolière par rapport à l’exploitation gazière en 2009. Le rythme de l’exploitation pétrolière n’a pu cependant surpasser la baisse de l’activité dans le secteur gazier, de sorte que le nombre hebdomadaire moyen d’appareils de forage a chuté à 233 en 2009, comparativement à 367 en 2007, pour ainsi réduire le coût des jours de forage et des jours de service.
Les frais d’exploration ont diminué de 2007 à 2009 à la suite d’une chute moyenne de 22 %[20] du coût des combustibles et de l’électricité dans l’Ouest canadien. en 2009, les frais de traitement des ressources nouvellement produites ont augmenté par suite de la production accrue dans les zones à forte teneur en LGN, où un traitement supplémentaire est nécessaire, par exemple la zone de Montney dans la région de Fort St. John.
[20] Petroleum Services Association of Canada, 2010 Well Cost Stud, 5 novembre 2009
L’activité dans les zones pétrolières et la croissance de la production dans la région des sables bitumineux ont fait monter les autres frais d’exploitation des puits entre 2007 et 2009. Le coût moyen du cuvelage, des tubages, de la location d’équipement et du transport a augmenté.
Dans l’ensemble, la moyenne des dépenses en immobilisations ciblant les puits dans l’Ouest canadien a augmenté de 2,02 M$/puits en 2007 à 2,46 M$/puits en 2009. En moyenne, les puits sont plus profonds et plus complexes, par exemple dans les grandes zones du nord-est de la C.-B. en 2009. Ce facteur, de même que les facteurs d’ordre financier mentionnés ci-dessus, ont été les principaux moteurs d’accroissement de la moyenne des dépenses en immobilisations.
En outre, les perfectionnements technologiques et les améliorations d’efficience pourraient se traduire par d’autres diminutions du coût des puits à l’avenir.
Annexe 2 - Méthodologie de la production et intrants
A2.1 Groupes de formations
Pour chaque région, les formations productrices ont été groupées selon leurs caractéristiques géologiques et les coûts de l’offre ont été calculés pour chacun de ces groupes. Les formations ont été classées en fonction de leurs similitudes : leur profondeur et autres attributs physiques comme la perméabilité et le type de ressource (voir les annexes 7 et 8), les coûts de forage et la possibilité, en Alberta, qu’il y ait mélange au niveau des formations.
A2.2 Types de ressources
Quatre types de ressources ont été analysés dans cette étude : le gaz classique, le gaz de réservoir étanche, le méthane de houille (MH) et le gaz de schiste. La différence entre le gaz classique et le gaz de réservoir étanche est fonction des zones de gaz de réservoir étanche définies par la société d’experts-conseils Forward Energy Group Inc.[21]. La présente étude tient compte de trois zones principales de gaz de réservoir étanche : certaines zones du crétacé qui se retrouvent dans celle de Deep Basin; les formations de Milk River, de Medicine Hat et de Second White Specks dans le sud-est de l’Alberta et le sud-ouest de la Saskatchewan; le groupe Jean Marie dans le nord-est de la Colombie-Britannique.
[21] Forward Energy Group Inc.
Cette analyse n’inclut pas les nouveaux projets de mise en valeur lancés en 2009 puisque les données sur les profils de production ou les estimations de coûts étaient alors insuffisantes. Les types de ressources exclus sont le gaz de réservoir étanche dans le groupe de Mannville du centre des contreforts, le gaz de réservoir étanche dans les groupes du Triasique inférieur et du Mississippien de Peace River, le gaz de gaz de réservoir étanche des groupes de Mannville et du Dévonien de Fort St. John et les zones de MH autres que celles de Horseshoe Canyon (HSC) et de Mannville.
A2.3 Données de production
Des données historiques sur les puits[22] de 1998 à décembre 2009 ont été utilisées afin de calculer la production des puits pour 2009. Ces données permettent de profiler le puits moyen en 2009 selon le groupe. Elles comprennent la production initiale, les paramètres de la courbe de diminution de la production, la profondeur moyenne, la composition du gaz, la perte de volume et le taux de réussite (la probabilité qu’un puits foré maintienne, en moyenne, le niveau de production attendu). La production de 2009 a servi de base pour calculer les intrants selon les groupes à partir des données sur les coûts de petroCUBE (section A2.4).
[22] Données sur les puits fournies par GeoScout.
A2.3.1 Production initiale
Les taux de production initiale pour un puits moyen dans chaque groupe ont été déterminés en faisant la moyenne, à partir des données des puits de 2009, des taux initiaux de tous les puits.
A2.3.2 Courbe de diminution de la production
Des courbes de diminution linéaire de la production des puits forés[23] chaque année (de 1998 à 2009) ont été ajustées en tenant compte dans chaque cas des taux de diminution et du nombre de mois de production. Plus il est possible de remonter dans le temps, plus nombreuses sont les données disponibles, et, par conséquent, une courbe de diminution « plus complète » peut être modélisée. En ce qui concerne les puits forés en 2009, seuls les taux de production initiale et sur les quelques mois qui suivent étaient disponibles, donc l’analyse de la courbe historique est utilisée pour extrapoler le rendement des puits en 2009. La production initiale et les paramètres de diminution de la production sont présentés à l’annexe 6.
[23] Puits qui commencent à produire au cours de l’année.
A2.3.3 Autres paramètres des puits
Les données historiques et les travaux précédents de l’ONÉ servent à calculer la profondeur moyenne des puits, la composition du gaz et la perte de volume po
Les données historiques des puits de chaque groupe ont été utilisées pour calculer la probabilité qu’un puits foré dans un groupe précis soit fructueux (produise suffisamment). Le ratio des puits productifs par rapport à ceux qui ne le sont pas a été calculé pour chacun des groupes. Quant aux puits dont la formation ciblée était inconnue alors que la profondeur, elle, était connue, la probabilité statistique a servi à estimer la formation qui était ciblée. Pour chacun des groupes, la profondeur possible des puits selon la formation a été modélisée en fonction d’une distribution normale en cloche. Quand la profondeur d’un puits faisait partie de l’intervalle de confiance de 80 % de la formation, cette formation était identifiée comme une cible possible pour un puits. Si plus d’une formation étaient possibles pour un puits, la formation de la région qui comptait le plus grand nombre de puits forés était choisie. En outre, des courbes de distribution normale ne pouvaient pas être modélisées pour des formations qui comptaient peu de puits historiques. Le cas échéant, les données des puits, pour une formation précise, des huit cantons environnants ont été rassemblées pour estimer la distribution normale.
A2.4 Intrants
Les données de petroCUBE relatives au coût sont accessibles par région et par formation (voir l’annexe 4 pour une liste des formations). Les groupes dont il est question dans cette étude comprennent parfois plus d’une formation (voir la colonne « groupe de ressources » à l’annexe 5). Ainsi, les données historiques sur la production des puits en 2009 sont utilisées pour calculer les ratios qui s’appliquaient aux données de petroCUBE relatives au coût. Pour chacun des groupes, les données sur la production sont résumées selon la formation. Les ratios ont été calculés par formation (voir l’annexe 9) et appliqués aux données relatives au coût pour obtenir une moyenne des coûts pondérée selon la production historique. Ces coûts comprennent les frais relatifs au forage et à la complétion, au raccordement, à la remise en état des lieux, au terrain, aux frais de traitement et aux frais d’exploitation fixes et variables. Les données relatives au coût ont été recueillies à même des présentations publiques, dans des sites Web de l’industrie et dans le cadre de consultations auprès de représentants d
Annexe 3 - Analyse économique
Cette annexe explique les détails qui sous-tendent l’analyse des flux de trésorerie. Pour chacun des groupes, ces flux sont déterminés en fonction des hypothèses décrites dans la présente annexe et à l’annexe 2. La sensibilité des flux monétaires a été examinée en variant les prix du gaz ou les dépenses en immobilisations. En tout, 22 estimations sur les flux de trésorerie ont été préparées pour chaque groupe, dont une tablant sur les prix courants et dix basées sur des hypothèses de prix variables du gaz dans un contexte sans risque (probabilité de réussite de 100 %), lesquelles hypothèses étaient reprises dans le cadre d’une analyse avec risques (prise en compte de la possibilité de puits sec et des coûts connexes). Douze tests de sensibilité à l’égard des dépenses en immobilisations ont également été effectués pour six groupes précis.
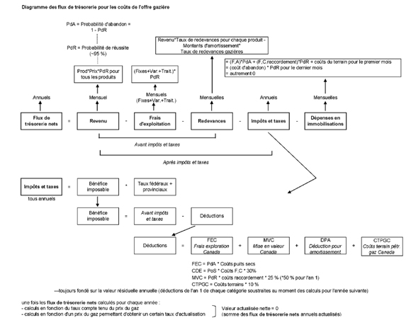
A3.1 Analyse des flux de trésorerie
Les coûts de l’offre et les TDR ont été calculés à partir de l’analyse des flux de trésorerie, dont toutes les composantes sont en dollars canadiens de 2009. Les flux de trésorerie nets (FTN) pour chaque période correspondent aux revenus moins les charges et autres paiements exigibles, comme les impôts et les redevances. Ils ont tous été convertis à l’échelle des données de première période au moyen d’un taux d’actualisation précis (le TDR) et additionnés pour obtenir une valeur actualisée nette (VAN). Le coût de l’offre correspond au prix du gaz naturel permettant de ramener la VAN à zéro. Il peut être calculé à partir d’un TDR précis ou servir à établir ce TDR.
Le délai de recouvrement peut ensuite être calculé d’après le coût de l’offre ou le TDR interne. Le recouvrement a lieu lorsque la somme cumulée de la valeur actualisée des flux de trésorerie, à partir de la première période, est égale à zéro. Les dépenses en immobilisations initiales entraînent des flux de trésorerie nets négatifs au cours de la période, mais au fur et à mesure que les revenus augmentent, la somme cumulée des flux de trésorerie devient positive, soit au moment où les bénéfices nets commencent à rembourser les dépenses en immobilisations initiales.
- Le coût de l’offre et le délai de recouvrement sont déterminés en fonction d’un TDR de 15 % et d’une VAN égale à zéro.
- Le TDR et le délai de recouvrement sont déterminés en fonction d’un coût de l’offre (prix de vente) et d’une VAN de valeurs égales à zéro.
Dans cette analyse, les coûts et les redevances ont été calculés sur une base mensuelle. Les revenus nets mensuels, qui sont égaux à la production multipliée par le prix moins les charges et les redevances, ont été additionnés pour obtenir les totaux annuels, puis le revenu imposable et les impôts exigibles sont calculés. Ces derniers ont été soustraits du revenu net pour obtenir les FTN annuels.
Flux de trésorerie netsy = Revenuy -frais d’exploitationy - redevances exigiblesy - impôts exigiblesy -dépenses en immobilisationsy
où
| Revenui = | ∑ | Productionki * Prixki |
| k |
Frais d’exploitationi = frais d’exploitation fixesi + frais d’exploitation variablesi
| Redevances exigiblesi = | ∑ | (revenuki * taux de redevanceski) - déduction pour amortissementi * taux de redevancesi(gaz) |
| k |
Impôts et taxes exigiblesy = revenu imposabley * (taux d’imposition provincialy + taux d’imposition fédéraly)
| Dépenses en immobilisationi | = forage, cuvelage, complétion, frais relatifs au raccordement + coûts du terrain pendant lepremier mois d’exploitation = coûts de remise en état pendant le dernier mois d’exploitation = autrement 0 |
i = mois i
y = année y
k = produit k (gaz naturel, propane, butane, pentanes plus et soufre)
A3.2 Revenu
Le revenu est déterminé en multipliant le volume de production commercialisable par le prix, et ce, pour chaque produit. Ces revenus ont été additionnés pour obtenir le revenu total. Des produits autres que le gaz naturel ont été inclus dans certains groupes. Le butane, le propane, les pentanes plus et le soufre sont tous des produits qui peuvent résulter de la transformation du gaz naturel. Puisque ces produits génèrent des rentrées, ce revenu doit être pris en compte pour établir la rentabilité des puits. Les compositions des flux gazeux pour chacun des groupes sont présentées à l’annexe 7.
Le prix du gaz naturel peut être résolu comme coût de l’offre dans l’analyse des flux de trésorerie ou pris en charge et ajouté à l’analyse pour trouver le TDR. Les prix utilisés varient d’un dollar à la fois entre 3 $/GJ à 12 $/GJ. Le prix du gaz naturel correspond au prix courant par gigajoule en dollars canadiens de 2009. Le prix à la tête du puits reçu par les producteurs est le prix courant moins 0,15 $/GJ pour tenir compte du transport. Ce prix à la tête du puits est celui pour 2009. Les prix futurs augmentent à un taux d’inflation annuel réel de 2 %. Par exemple, si le prix en 2009 est de 3,85 $ (prix du marché de 4 $ moins 0,15 $), le prix en 2010 sera de 3,93 $CAN de 2009/GJ (en appliquant un taux d’inflation annuel réel de 2 % au montant de 3,85 $) et augmentera ainsi pour la production des années suivantes.
Les prix pour les autres produits ont été calculés comme suit : en 2009, le prix du soufre à la sortie de l’usine est établi à 37,29 $ la tonne, en dollars canadiens de 2009. Les années suivantes, le prix augmente à un taux d’inflation annuel réel de 2 %[24]. Les prix des autres produits sont calculés selon des rapports de prix. Les prix du propane et du butane employés pour une année donnée ont été fixés à trois fois le prix de gaz naturel à la tête du puits, et ceux des pentanes et des molécules lourdes (pentanes plus) à quatre fois. La conversion du gaz brut en ces différents produits nécessite des facteurs de rendement. Le facteur utilisé pour le propane est de 25,394 GJ par mètre cube de gaz brut produit, pour le butane il est de 28,345 GJ par mètre cube et dans le cas des pentanes plus, il passe à 31 GJ par mètre cube.
[24] De 2007 à 2009, le taux d’inflation annuel au Canada (selon l’indice des prix à la consummation) s’est élevé en moyenne à 1,6 %.
A3.3 Succès et abandon
Puisqu’il y a un risque que le puits foré soit sec - production gazière infructueuse - l’analyse en évalue la probabilité pour prendre ce risque en considération. La probabilité qu’un puits soit infructueux ou abandonné, pour chaque groupe, est présentée à l’annexe 8. La probabilité de succès, c’est-à-dire que le puits foré soit productif, est égale à un, moins la probabilité d’abandon. Afin de tenir compte de ce risque dans l’analyse, la production mensuelle est multipliée par la probabilité de succès, ce qui permet d’obtenir la production attendue, ou production avec risques, puis par les frais mensuels[25]. Comme le revenu est égal à la production multipliée par le prix, le revenu reporté est chaque fois un revenu avec risques, et au même titre que pour les coûts à risques, l’analyse économique est une analyse qui tient compte du risque.
[25] Revenu prévu avant impôts = (probabilité de succès)* revenu avant impôts + (probabilité d’abandon)*zéro; revenu avant impôts = (probabilité de succès)* revenu avant impôts puisqu’il n’y a aucun revenu su le puits est abandonné (sec).
A3.4 Dépenses en immobilisations
L’hypothèse de départ est que les dépenses initiales en immobilisations s’appliquaient au premier mois de production, à l’exception des coûts de remise en état qui se confinent au dernier mois de production, et elles augmentent selon un taux d’inflation de 2 %. Il importe de savoir que les dépenses en immobilisations sont différentes pour les puits improductifs (qui n’engageront aucun frais d’exploitation puisqu’il n’y a pas de production).
A3.5 Frais d’exploitation et de traitement
Des frais d’exploitation sont engagés pour chaque mois de production. Il y a deux sortes de frais d’exploitation : fixes et variables. Les frais d’exploitation fixes sont les mêmes chaque mois et il n’est alors pas tenu compte de la production mensuelle du puits. Les frais fixes peuvent comprendre la location d’équipement, l’entretien et les ressources humaines. Les frais d’exploitation variables, comme le combustible et l’électricité, représentent un coût par unité de production commercialisable. Ils sont en dollars canadiens de 2009 et correspondent aux frais engagés en 2009. Les frais d’exploitation futurs ont été gonflés de 2 % par année.
Le gaz brut doit être transformé en gaz commercialisable avant d’être mis sur le marché. Les frais de traitement sont calculés en dollars par unité de production et augmentent selon un taux d’inflation annuel réel de 2 %.
A3.6 Redevances
Il est adopté comme hypothèse que la production a lieu sur des terres de la Couronne, ce qui signifie que des redevances doivent être payées au gouvernement provincial. Les redevances existent parce que ce sont les citoyens qui possèdent les ressources naturelles (le gaz naturel et les liquides du gaz naturel, dans ce cas-ci). Les producteurs qui exploitent une ressource dans le but d’en tirer un revenu doivent donc verser une indemnité.
Pour la Colombie-Britannique et la Saskatchewan, ce sont les régimes de redevances en place en décembre 2009 qui ont été utilisés[26]. Le nouveau régime de redevances de l’Alberta, qui a été annoncé en octobre 2007[27], a été utilisé pour l’analyse économique de la production en Alberta[28]. Les redevances brutes payables représentent le produit du taux de redevances (en pourcentage) et du revenu brut (prix de vente prévu multiplié par la production). Dans le contexte des calculs liés aux redevances brutes, les déductions relatives aux dépenses en immobilisations, la faible productivité et les rajustements visant les exemptions de redevances pour les puits profonds ont été déduits pour obtenir les redevances nettes réelles à payer au gouvernement provincial respectif pour chaque mois de production.
[26] Régimes financiers pour le pétrole et le gaz dans les territoires et les provinces de l’Ouest canadien (Oil and Gas Fiscal Regimes: Western Canadian Provinces and Territories), décembre 2006
[27] Gouvernement de l’Alberta, About Royalties
[28] Les formules de calcul des redevances albertaines pour le gaz naturel n’ont pas été utilisées pour 2010 parce qu’elles n’entrent en vigueur que le 1er janvier 2011.
A3.6.1 Redevances en Colombie-Britannique
La formule de redevances gazières base 9[29] est utilisée pour calculer les redevances brutes[30] pour le gaz naturel en Colombie-Britannique. Cette formule retient 9 % du prix lorsque celui-ci est inférieur ou égal au prix choisi, puis 40 % du montant pouvant dépasser ce prix. Le prix choisi est de 50 $/m³ (1,41 $/kpi³). Le taux de redevances doit se trouver dans une fourchette de 9 % à 27 %. Le taux de redevances des puits qui produisent une moyenne mensuelle inférieure à 5 000 10³m³/j diminuera.
[29] Gaz produit à partir de puits forés sur un terrain acquis après le 1er juin 1998 et complétés dans un délai de cinq ans suivant l’émission des droits.
[30] Pour obtenir des renseignements supplémentaires, voir la note de bas de page no 26.
Les autres produits tirés du gaz naturel ont également fait l’objet de redevances. Celles sur les liquides du gaz naturel se sont élevées à un taux uniforme de 20 % du volume des ventes et celles sur le soufre à un taux uniforme de 16 2/3 % du volume des ventes. Les redevances brutes payables correspondent à la somme de toutes les redevances exigibles pour chaque produit.
En Colombie-Britannique, les producteurs peuvent déduire des montants d’amortissement et des rajustements pour les puits profonds admissibles. Les producteurs de gaz ont eu droit à une indemnité pour coûts de service en ce qui concerne la collecte de gaz, la déshydratation, la compression ainsi que le traitement préliminaire et la conservation. En d’autres termes, le coût total de ces éléments, multiplié par le taux de redevances pour le gaz naturel, a été déduit des redevances brutes. Les puits verticaux dont la profondeur est d’au moins 2 500 mètres ou les puits horizontaux d’une profondeur de 2 300 mètres sont admissibles à des crédits pour exemption de versement de redevances sur les puits profonds. Cette méthode s’applique aux redevances futures[31].
[31] Comme les redevances exigées ne peuvent être négatives, tout montant pouvant ainsi être déduit des redevances brutes exigibles pour un mois est reporté au mois suivant et ajouté aux déductions de ce mois-là, et ainsi de suite jusqu’à épuisement des déductions.
A3.6.2 Redevances en Alberta
Les formules de taux de redevances sur le pétrole et le gaz en Alberta ont été mises à jour en octobre 2007 conformément au nouveau cadre de taux de redevances[32] du gouvernement provincial. Ces formules sont entrées en vigueur le 1er janvier 2009 et ont été employées dans cette analyse.
[32] Gouvernement de l’Alberta, About Royalties
Le calcul des nouvelles redevances sur le gaz naturel se fait en fonction de deux éléments : le prix et la quantité. Le taux de redevances est obtenu en fonction de chacun de ces éléments qui, individuellement, ne peuvent dépasser 30 %, tandis qu’au total, le taux de redevances doit se situer entre 5 % et 50 %. La quantité peut en outre être réduite selon un facteur de profondeur. Si la profondeur d’un puits est de 2 000 mètres ou plus, il y aura recours à un facteur de profondeur variant selon la quantité de gaz produit. En raison du rajustement en fonction de la profondeur, le facteur quantité peut mener à un taux de redevances négatif. Les taux de redevances, en vigueur depuis le décembre 2006, pour le propane, le butane et le méthane, ont été utilisés dans cette analyse. Le taux de redevances est ensuite multiplié par les revenus bruts afin d’obtenir les redevances brutes mensuelles.
Comme en Colombie-Britannique, les coûts applicables peuvent être déduits des redevances brutes, y compris les dépenses annuelles en immobilisations, les frais d’exploitation mensuels et les frais annuels de traitement personnalisé. Ces coûts ont été multipliés par le taux de redevances pour le gaz naturel et soustraits du montant total de redevances brutes pour obtenir le montant net des redevances à payer chaque mois.
Il existe également un allègement sur les redevances pour les puits de gaz profonds. Le 10 avril 2008, le gouvernement de l’Alberta a annoncé de nouveaux programmes pour les puits profonds afin de promouvoir l’exploitation des réserves de pétrole et de gaz dont le coût est élevé. Ces programmes se sont appliqués aux puits forés à compter du 10 avril 2008. Comme l’analyse évalue la viabilité économique des puits f
A3.6.3 Redevances en Saskatchewan
La formule des redevances sur « la quatrième partie du gaz tirée des puits33 » est utilisée pour calculer le taux de redevances sur la production gazière en Saskatchewan. Si la production gazière mensuelle d’un puits est inférieure à 25 10³m³, le taux de redevances est de 0 %. Si la production mensuelle est supérieure à 25 10³m³, le taux de redevances est calculé selon une de deux formules tenant compte d’une production supérieure ou inférieure à 115,4 10³m³/j.
[33] Gaz tiré de puits forés le 1er octobre 2002 et par la suite.
Il y a également une déduction pour amortissement qui permet de diminuer les redevances exigibles, mais contrairement à la Colombie-Britannique et à l’Alberta, elle n’est pas fondée sur les dépenses réelles et constitue plutôt une déduction fixe de 10 $ par mille mètres cubes pour tous les types de gaz. Cette déduction permet de tenir compte des frais de collecte et de traitement. Il n’y a eu aucune redevance pour les liquides du gaz naturel. Des frais de traitement élevés n’ont donc pas été pris en considération dans la déduction. En outre, il n’est tenu compte d’aucune production de soufre en Saskatchewan, donc aucune redevance sur ce produit n’est calculée.
A3.7 Impôts
Les nouveaux taux d’imposition des sociétés au Canada, annoncés et adoptés à l’automne 2007, ont utilisés dans cette analyse. Le taux d’imposition des bénéfices des sociétés en 2007 était de 22,12 % et passera graduellement à 15 % d’ici 2012. Les taux présentés ci-dessous sont ceux utilisés dans l’analyse. Il est supposé que la production après 2012 sera taxée au taux de 15 %.
| Taux d’imposition au Canada | 2007 | 2008 | 2009 | 2010 | 2011 | 2012 |
|---|---|---|---|---|---|---|
| 22,12 % | 19,5 % | 19,0 % | 18,0 % | 16,5 % | 15,0 % |
Les taux d’imposition provinciaux, en date de décembre 2009, sont hypothétiques et constants tout au long de la durée de vie utile de chacun des puits en production.
| Taux d’imposition provinciaux | Colombie-Britannique | Alberta | Saskatchewan |
|---|---|---|---|
| 12 % | 10 % | 13 % |
Les revenus avant impôts correspondent aux revenus (production multipliée par le prix) moins les frais d’exploitation et les redevances exigibles. Ils ont été calculés de façon mensuelle et additionnés pour chaque année civile. Le revenu imposable correspond aux revenus avant impôts moins l’amortissement admissible et une tranche des dépenses en immobilisations pour une année donnée. Les taux d’imposition ont été multipliés par le revenu annuel imposable afin d’obtenir le montant des impôts fédéraux et provinciaux payables pour chaque année de production d’un puits. Le revenu annuel après impôts est ensuite calculé en soustrayant, pour chaque année, les impôts exigibles en fonction du revenu avant impôts.
A3.8 Flux de trésorerie nets (FTN) et calculs
Les FTN pour chaque année correspondent au revenu avant impôts (avec risques) moins les dépenses en immobilisations. Il est supposé que les dépenses initiales en immobilisations sont engendrées au cours du premier mois et que les FTN du premier mois seront négatifs. Les frais de remise en état des lieux du dernier mois de production entraîneront eux aussi, le plus souvent, des flux de trésorerie négatifs pour ce mois. En ce qui concerne tous les autres mois, aucune dépense en immobilisations n’est prévue, et puisque la production nécessite des revenus suffisants pour couvrir les frais d’exploitation, les FTN sont positifs. L’hypothèse émise est qu’au moment où la production diminuera et que le revenu ne suffira plus à couvrir les frais d’exploitation, celle-ci cessera.
Les coûts doivent également être pondérés en fonction de la probabilité de succès. Si un puits est abandonné, le producteur engagera des frais liés au terrain, au forage, à l’abandon et à la remise en état des lieux. Si un puits est fructueux, le producteur engagera des frais liés au terrain, au forage, au cuvelage, au raccordement et à la remise en état des lieux. Le total des dépenses initiales en immobilisations correspond donc à ce qui suit :
| Dépenses initiales en immobilisations = | frais liés au terrain + (probabilité qu’un puits soit infructueux) * frais liés à un puits sec + (probabilité de succès)* (frais de forage et de cuvelage + frais de raccordement) |
Les dépenses en immobilisations du dernier mois de production correspondent aux coûts indexés de remise en état des lieux. Une fois les FTN calculés, la VAN et les délais de recouvrement ont été calculés à leur tour, de même que le TDR ou le coût de l’offre pour un puits moyen de chaque groupe.
Un résumé de l’analyse économique est présenté à la figure A1.
Figure A1 : Diagramme des flux de trésorerie
Annexe 4 - Formations
| Abréviation | Groupe de ressources |
|---|---|
| Tert | Tertiaire |
| UprCret | Crétacé supérieur |
| UprCol | Colorado supérieur |
| Colr | Colorado |
| UprMnvl | Mannville supérieur |
| MdlMnvl | Mannville moyen |
| LwrMnvl | Mannville inférieur |
| Mnvl | Mannville |
| Jur | Jurassique |
| UprTri | Trias supérieur |
| LwrTri | Trias inférieur |
| Tri | Trias |
| Perm | Permien |
| Miss | Mississippien |
| UprDvn | Dévonien supérieur |
| MdlDvn | Dévonien moyen |
| LwrDvn | Dévonien inférieur |
Il convient de noter, par exemple, que la formation du Mannville est inscrite sous l’abréviation Mnvl, mais elle pourrait être divisée en trois formations : Mannville supérieur, Mannville moyen et Mannville inférieur.
Annexe 5 - Groupes
| Nom de la région | No région | Type de ressource | Groupe de ressources |
|---|---|---|---|
| MH MH |
00 00 |
MH MH |
HSC principal Mannville |
| Sud AB Sud AB Sud AB Sud AB |
01 01 01 01 |
Classique Classique Classique Rés. étanche |
Tert;UprCret;UprColr Colr Mnvl UprColr |
| Sud-ouest AB Sud-ouest AB Sud-ouest AB Sud-ouest AB Sud-ouest AB Sud-ouest AB Sud-ouest AB |
02 02 02 02 02 02 02 |
Classique Classique Classique Classique Rés. étanche Rés. étanche Rés. étanche |
Tert;UprCret;UprColr Colr MdlMnvl;LwrMnvl Jur;Miss UprColr Colr LwrMnvl |
| Contreforts sud | 03 | Classique | Miss;UprDvn |
| Est AB Est AB Est AB |
04 04 04 |
Classique Classique Rés. étanche |
UprCret;UprColr Colr;Mnvl UprColr |
| Centre AB Centre AB Centre AB Centre AB Centre AB Centre AB |
05 05 05 05 05 05 |
Classique Classique Classique Classique Rés. étanche Rés. étanche |
Tert;UprCret Colr Mnvl Miss;UprDvn Colr Mnvl |
| Centre-ouest AB Centre-ouest AB Centre-ouest AB Centre-ouest AB Centre-ouest AB Centre-ouest AB Centre-ouest AB Centre-ouest AB |
06 06 06 06 06 06 06 06 |
Classique Classique Classique Classique Classique Classique Rés. étanche Rés. étanche |
Tert UprCret;UprColr Mnvl LwrMnvl; Jur Miss UprDvn Colr Mnvl |
| Contreforts centre Contreforts centre Contreforts centre Contreforts centre Contreforts centre Contreforts centre Contreforts centre |
07 07 07 07 07 07 07 |
Classique Classique Classique Classique Classique Rés. étanche Rés. étanche |
UprColr Colr;Mnvl Jur;Tri;Perm Miss UprDvn;MdlDvn UprColr;Colr Jur |
| Kaybob Kaybob Kaybob Kaybob Kaybob |
08 08 08 08 08 |
Classique Classique Classique Classique Rés. étanche |
UprColr;Colr Mnvl;Jur Tri UprDvn Colr;Mnvl |
| Deep Basin AB Deep Basin AB Deep Basin AB Deep Basin AB Deep Basin AB Deep Basin AB Deep Basin AB Deep Basin AB |
09 09 09 09 09 09 09 09 |
Classique Classique Classique Classique Classique Rés. étanche Rés. étanche Rés. étanche |
UprCret UprColr Mnvl;Jur Tri UprDvn UprColr Colr Mnvl;Jur |
| Nord-est AB | 10 | Classique | Mnvl;UprDvn |
| Peace River Peace River Peace River Peace River Peace River Peace River Peace River Peace River Peace River |
11 11 11 11 11 11 11 11 11 |
Classique Classique Classique Classique Classique Classique Classique Rés. étanche Rés. étanche |
UprColr Colr;UprMnvl MdlMnvl;LwrMnvl UprTri LwrTri Miss UprDvn;MdlDvn UprColr MdlMnvl;LwrMnvl |
| Nord-ouest AB Nord-ouest AB Nord-ouest AB Nord-ouest AB |
12 12 12 12 |
Classique Classique Classique Classique |
Mnvl Miss UprDvn MdlDvn |
| Deep Basin BC Deep Basin BC Deep Basin BC Deep Basin BC Deep Basin BC |
13 13 13 13 13 |
Classique Classique Rés. étanche Rés. étanche Rés. étanche |
Colr LwrTri Colr Mnvl LwrTri |
| Fort St. John Fort St. John Fort St. John Fort St. John Fort St. John Fort St. John |
14 14 14 14 14 14 |
Classique Classique Classique Classique Rés. étanche Rés. étanche |
Mnvl Tri Perm;Miss UprDvn;MdlDvn Tri Perm;Miss |
| Nord-est BC Nord-est BC Nord-est BC Nord-est BC Nord-est BC |
15 15 15 15 15 |
Classique Classique Classique Rés. étanche Schistes |
LwrMnvl Perm;Miss UprDvn;MdlDvn UprDvn MdlDvn |
| Contreforts BC Contreforts BC |
16 16 |
Classique Classique |
Colr;Mnvl Tri;Perm;Miss |
| Sud-ouest SK | 17 | Rés. étanche | UprColr |
| Ouest SK Ouest SK |
18 18 |
Classique Classique |
Colr MdlMnvl;LwrMnvl;Miss |
Annexe 6 - Paramètres de diminution de la production
Cette annexe est disponible en format tableur Excel [EXCEL 264 ko].
Annexe 7 - Composition du gaz
| Rég. | Type de ressource |
Groupe de ressources |
Groupe de ressources |
Barils de C3 par Mpi³ commercia- lisables |
Barils de C4 par Mpi³ commercia- lisables |
Barils de C5+ par Mpi³ commercia- lisables |
Tonnes de soufre par Mpi³ commercia- lisables |
|---|---|---|---|---|---|---|---|
| 00 00 |
MH MH |
HSC principal Mannville |
HSC principal Mannville |
0 0 |
0 0 |
0 0 |
0 0 |
| 01 01 01 01 |
Classique Classique Classique Rés. étanche |
02;03;04 05 06;07;08 04 |
Tert;UprCret;UprColr Colr Mnvl UprColr |
0 0,05 0,38 0 |
0,08 0,48 1,67 0,1 |
0,41 1,92 5,21 0,39 |
0 0,0007 0,0025 0 |
| 02 02 02 02 02 02 02 |
Classique Classique Classique Classique Rés. étanche Rés. étanche Rés. étanche |
02;03;04 05 06;07;08 09;13 04 05 08 |
Tert;UprCret;UprColr Colr MdlMnvl;LwrMnvl Jur;Miss UprColr Colr Lwr Mnvl |
0,02 0 0,46 0,75 0 0,1 0,6 |
0,12 0,2 1,91 2,69 0,04 0,63 2,07 |
0,44 0,94 7,01 13,11 0,23 1,8 8,22 |
0,001 0,0009 0,0109 0,1813 0 0 0,0829 |
| 03 | Classique | 13;14 | Miss;UprDvn | 5,94 | 6,04 | 21,6 | 4,2071 |
| 04 04 04 |
Classique Classique Rés. étanche |
03;04 05;06;07;08 04 |
UprCret;UprColr Colr;Mnvl UprColr |
0 0,02 0 |
0,06 0,28 0,03 |
0,28 0,96 0,13 |
0,0008 0,0017 0 |
| 05 05 05 05 05 05 |
Classique Classique Classique Classique Rés. étanche Rés. étanche |
02;03 05 06;07;08 13;14 05 06;07;08 |
Tert;UprCret Colr Mnvl Miss;UprDvn Colr Mnvl |
0,01 0,31 0,65 1,21 0,57 0,94 |
0,16 0,95 1,86 3,64 2,15 3,39 |
0,72 3,17 5,12 12,31 7,96 10,77 |
0,0016 0 0,0101 0,2296 0,0114 0,0095 |
| 06 06 06 06 06 06 06 06 |
Classique Classique Classique Classique Classique Classique Rés. étanche Rés. étanche |
02 03;04 06;07;08 08;09 13 14 05 06;07;08 |
Tert UprCret;UprColr Mnvl LwrMnvl;Jur Miss UprDvn Colr Mnvl |
0,06 6,92 6,36 6,21 3,39 18,8 4,46 7,87 |
0,38 6,23 5,77 5,63 4,06 23,36 4,76 6,61 |
1,67 20,48 15,04 16,55 16,75 94,98 14,58 16,64 |
0,0043 0,0153 0,0034 0,0218 0,2376 4,6315 0,0226 0,0939 |
| 07 07 07 07 07 07 07 |
Classique Classique Classique Classique Classique Rés. étanche Rés. étanche |
04 05;06;07;08 09;10;11;12 13 14;15 04;05 09 |
UprColr Colr;Mnvl Jur;Tri;Perm Miss UprDvn;MdlDvn UprColr;Colr Jur |
7,08 0,9 0,07 1,23 0,06 0,73 0 |
4,86 1,34 0,21 1,2 0,28 2,66 0,19 |
14,08 4,73 1,12 3,68 2,35 18,78 1,35 |
0,0963 0,0909 0,9984 1,6192 4,2066 0,3842 0 |
| 08 08 08 08 08 |
Classique Classique Classique Classique Rés. étanche |
04;05 06;07;08;09 10;11 14 05;06;07;08 |
UprColr;Colr Mnvl;Jur Tri UprDvn Colr;Mnvl |
5,16 2,3 10,37 17,48 11,11 |
3,89 2,91 7,48 18,04 6,69 |
7,84 8,88 18,88 81,7 11,5 |
0,0023 0,0199 0,7438 3,1326 0,0259 |
| 09 09 09 09 09 09 09 09 |
Classique Classique Classique Classique Classique Rés. étanche Rés. étanche Rés. étanche |
03 04 06;07;08;09 10;11 14 04 05 06;07;08;09 |
UprCret UprColr Mnvl;Jur Tri UprDvn UprColr Colr Mnvl;Jur |
3,56 11,71 8,36 3,53 0,53 5,67 6,98 8,63 |
3,68 6,89 5,05 2,06 1,18 5,1 3,96 4,64 |
8,18 12,63 9,82 5,49 10,56 15 9,45 8,79 |
0 0,0041 0,0559 1,2427 4,7413 0,013 0,1195 0,0167 |
| 10 | Classique | 06;07;08;14 | Mnvl;UprDvn | 0 | 0,01 | 0,04 | 0 |
| 11 11 11 11 11 11 11 11 11 |
Classique Classique Classique Classique Classique Classique Classique Rés. étanche Rés. étanche |
04 05;06 07;08 10 11 13 14;15 04 07;08 |
UprColr Colr;UprMnvl MdlMnvl;LwrMnvl UprTri LwrTri Miss UprDvn;MdlDvn UprColr MdlMnvl;LwrMnvl |
0,31 0,43 0,16 0,86 0,74 5,67 0,42 0,31 0 |
0,69 0,29 0,45 1,5 2,19 4,43 2,15 0,69 0,26 |
2,52 1,87 2,96 4,95 9,33 11,9 5,96 2,52 1,07 |
0,0013 0,002 0,0045 0,21 0,4875 0,0056 0,097 0,0013 0 |
| 12 12 12 12 |
Classique Classique Classique Classique |
06;07;08 13 14 15 |
Mnvl Miss UprDvn MdlDvn |
0,09 0 0,53 4,77 |
0,44 0,16 2,55 3,48 |
1,39 0,56 14,59 7,51 |
0,0008 0 0,0644 0,5341 |
| 13 13 13 13 13 |
Classique Classique Rés. étanche Rés. étanche Rés. étanche |
05 11 05 06;07;08 11 |
Colr LwrTri Colr Mnvl LwrTri |
2,65 0,42 0 0,09 0,13 |
2,31 0,35 0,26 0,18 0 |
3,44 0,41 1,07 0,61 0 |
0 0,2479 0 0 28 |
| 14 14 14 14 14 14 |
Classique Classique Classique Classique Rés. étanche Rés. étanche |
06;07;08 10;11 12; 13 14;15 11 12;13 |
Mnvl Tri Perm;Miss UprDvn;MdlDvn Tri Perm;Miss |
15,96 10,71 3,26 0,03 8,05 3,26 |
8,14 6,91 2,97 0,06 4,12 2,97 |
7,19 7,63 6,45 4 6,88 6,45 |
0,0242 0,5024 0,0818 0,0402 0 0,0818 |
| 15 15 15 15 15 |
Classique Classique Classique Rés. étanche Shale |
08 12;13 14;15 14 14 |
LwrMnvl Perm;Miss UprDvn;MdlDvn UprDvn Shale |
8,27 0,03 0,13 0 0 |
6,74 0,08 0,15 0,15 0 |
8,05 0,31 0,18 1,47 0 |
0 0,0467 0,5967 0,0027 0 |
| 16 16 |
Classique Classique |
05;06;07;08 10;11;12;13 |
Colr;Mnvl Tri;Perm;Miss |
0,64 0,01 |
0,59 0,06 |
0,67 0,24 |
0,005 2,9532 |
| 17 | Rés. étanche | 04 | UprColr | 0 | 0,1 | 0,39 | 0 |
| 18 18 |
Classique Classique |
05 07;08;13 |
Colr MdlMnvl;LwrMnvl;Miss |
0,02 0,02 |
0,28 0,28 |
0,96 0,96 |
0,0017 0,0017 |
Annexe 8 - Autres paramètres des puits
| Rég. | Type de ressource | Groupe de ressources | Profondeur totale en m |
Diminution du
volume après traitement en % |
Probabilité de réussite en % |
|---|---|---|---|---|---|
| 00 00 |
MH MH |
HSC principal Mannville |
760 2081 |
95,0 % 95.0 % |
100,0 % 100,0 % |
| 01 01 01 01 |
Classique Classique Classique Rés. étanche |
Tert;UprCret;UprColr Colr Mnvl UprColr |
809 760 1167 693 |
95,5 % 95,0 % 92,2 % 94,4 % |
99,9 % 93,5 % 90,0 % 99,6 % |
| 02 02 02 02 02 02 02 |
Classique Classique Classique Classique Rés. étanche Rés. étanche Rés. étanche |
Tert;UprCret;UprColr Colr MdlMnvl;LwrMnvl Jur;Miss UprColr Colr LwrMnvl |
962 1308 1765 2236 390 2403 2460 |
94,0 % 94,5 % 88,3 % 86,6 % 95,4 % 94,8 % 90,9 % |
95,5 % 62,5 % 97,0 % 100,0 % 99,9 % 65,0 % 99,9 % |
| 03 | Classique | Miss;UprDvn | 3900 | 63,5 % | 80,0 % |
| 04 04 04 |
Classique Classique Rés. étanche |
UprCret;UprColr Colr;Mnvl UprColr |
479 836 896 |
95,4 % 94,7 % 95,8 % |
96,0 % 95,0 % 90,0 % |
| 05 05 05 05 05 05 |
Classique Classique Classique Classique Rés. étanche Rés. étanche |
Tert;UprCret Colr Mnvl Miss;UprDvn Colr Mnvl |
922 1343 1158 1673 1524 1867 |
93,5 % 94,4 % 91,9 % 89,1 % 92,1 % 90,2 % |
99,0 % 98,0 % 78,0 % 93,0 % 99,9 % 92,3 % |
| 06 06 06 06 06 06 06 06 |
Classique Classique Classique Classique Classique Classique Rés. étanche Rés. étanche |
Tert UprCret;UprColr Mnvl LwrMnvl;Jur Miss UprDvn Colr Mnvl |
1199 1666 2810 2775 2732 3529 1742 2856 |
90,9 % 87,2 % 86,7 % 84,8 % 84,5 % 51,5 % 88,7 % 84,4 % |
97,0 % 91,0 % 100,0 % 93,0 % 95,0 % 75,0 % 91,7 % 95,3 % |
| 07 07 07 07 07 07 07 |
Classique Classique Classique Classique Classique Rés. étanche Rés. étanche |
UprColr Colr;Mnvl Jur;Tri;Perm Miss UprDvn;MdlDvn UprColr;Colr Jur |
3546 3588 3399 3580 3897 2955 4640 |
88,5 % 91,1 % 87,4 % 81,8 % 69,3 % 87,9 % 95,7 % |
75,0 % 97,0 % 99,0 % 81,0 % 100,0 % 100,0 % 100,0 % |
| 08 08 08 08 08 |
Classique Classique Classique Classique Rés. étanche |
UprColr;Colr Mnvl;Jur Tri UprDvn Colr;Mnvl |
2463 2709 3363 3828 3044 |
90,5 % 89,7 % 82,2 % 64,4 % 84,9 % |
66,7 % 91,7 % 94,7 % 93,0 % 92,9 % |
| 09 09 09 09 09 09 09 09 |
Classique Classique Classique Classique Classique Rés. étanche Rés. étanche Rés. étanche |
UprCret UprColr Mnvl;Jur Tri UprDvn UprColr Colr Mnvl;Jur |
1090 2886 3068 3623 4529 2463 3096 3182 |
91,2 % 86,2 % 84,6 % 84,1 % 70,1 % 88,7 % 85,6 % 85,3 % |
92,0 % 97,8 % 100,0 % 100,0 % 75,0 % 97,8 % 92,0 % 94,1 % |
| 10 | Classique | Mnvl;UprDvn | 520 | 95,1 % | 81,1 % |
| 11 11 11 11 11 11 11 11 11 |
Classique Classique Classique Classique Classique Classique Classique Rés. étanche Rés. étanche |
UprColr Colr;UprMnvl MdlMnvl;LwrMnvl UprTri LwrTri Miss UprDvn;MdlDvn UprColr MdlMnvl;LwrMnvl |
634 872 1590 1070 2650 1805 2395 695 1390 |
94,5 % 94,6 % 92,4 % 90,5 % 88,7 % 88,8 % 89,0 % 94,5 % 92,4 % |
76,0 % 80,0 % 78,8 % 96,0 % 99,0 % 100,0 % 62,5 % 95,0 % 95,0 % |
| 12 12 12 12 |
Classique Classique Classique Classique |
Mnvl Miss UprDvn MdlDvn |
982 486 1957 1531 |
94,1 % 90,7 % 90,8 % 84,0 % |
100,0 % 100,0 % 87,5 % 100,0 % |
| 13 13 13 13 13 |
Classique Classique Rés. étanche Rés. étanche Rés. étanche |
Colr LwrTri Colr Mnvl LwrTri |
3216 4452 3216 3850 4055 |
95,1 % 91,7 % 96,4 % 95,2 % 95,0 % |
50,0 % 98,3 % 100,0 % 99,3 % 100,0 % |
| 14 14 14 14 14 14 |
Classique Classique Classique Classique Rés. étanche Rés. étanche |
Mnvl Tri Perm;Miss UprDvn;MdlDvn Tri Perm;Miss |
1062 2086 3143 4055 4055 4055 |
85,2 % 85,2 % 91,9 % 89,3 % 95,0 % 95,2 % |
98,0 % 99,1 % 100,0 % 100,0 % 100,0 % 100,0 % |
| 15 15 15 15 15 |
Classique Classique Classique Rés. étanche Schistes |
LwrMnvl Perm;Miss UprDvn;MdlDvn UprDvn Shale |
1219 762 1962 2558 4460 |
92,6 % 89,4 % 79,7 % 95,3 % 85,0 % |
100,0 % 100,0 % 95,0 % 98,1 % 100,0 % |
| 16 16 |
Classique Classique |
Colr;Mnvl Tri;Perm;Miss |
2990 2741 |
90,9 % 78,3 % |
98,4 % 99,0 % |
| 17 | Rés. étanche | UprColr | 583 | 86,0 % | 100,0 % |
| 18 18 |
Classique Classique |
Colr MdlMnvl;LwrMnvl;Miss |
740 852 |
80,0 % 80,0 % |
100,0 % 100,0 % |
Annexe 9 - Ratios des formations par groupe
Cette annexe est disponible en format tableur Excel [EXCEL 457 ko].
Annexe 10 - Dépenses en immobilisations en 2009
| Rég. | Type de Ressource |
Groupe de ressources |
Forage et abandon (puits infructueux) en K$CAN |
Forage et complétion (puits fructueux) en K$CAN |
Coûts de raccordement en K$CAN |
Coûts de remise en état en K$CAN |
Coûts des terrains en K$CAN |
|---|---|---|---|---|---|---|---|
| 00 00 |
MH MH |
HSC principal Mannville |
126 504 |
310 1239 |
60 60 |
70 70 |
40 40 |
| 01 01 01 01 |
Classique Classique Classique Rés. étanche |
02;03;04 05 06;07;08 04 |
106 212 305 126 |
185 400 511 208 |
50 124 131 50 |
35 48 63 35 |
4 4 4 4 |
| 02 02 02 02 02 02 02 |
Classique Classique Classique Classique Rés. étanche Rés. étanche Rés. étanche |
02;03;04 05 07;08 09;13 04 05 08 |
130 278 450 485 160 292 438 |
236 480 678 735 270 504 668 |
50 50 50 50 50 50 50 |
70 70 70 70 70 70 70 |
14 14 14 14 14 14 14 |
| 03 | Classique | 13;14 | 12135 | 15815 | 2000 | 74 | 128 |
| 04 04 04 |
Classique Classique Rés. étanche |
03;04 05;06;07;08 04 |
178 222 185 |
343 418 352 |
114 113 113 |
41 51 40 |
13 12 12 |
| 05 05 05 05 05 05 |
Classique Classique Classique Classique Rés. étanche Rés. étanche |
02;03 05 06;07;08 13;14 05 06;07;08 |
133 212 286 522 215 286 |
323 435 558 837 439 557 |
106 106 106 106 106 106 |
45 68 70 70 69 70 |
14 14 14 14 14 14 |
| 06 06 06 06 06 06 06 06 |
Classique Classique Classique Classique Classique Classique Rés. étanche Rés. étanche |
02 03;04 06;07;08 08;09 13 14 05 06;07;08 |
136 170 304 350 448 494 263 314 |
250 325 714 974 1300 1431 639 729 |
72 72 195 214 184 180 72 195 |
45 74 75 75 75 75 75 75 |
60 60 60 60 60 60 60 60 |
| 07 07 07 07 07 07 07 |
Classique Classique Classique Classique Classique Rés. étanche Rés. étanche |
04 05;06;07;08 09;10;11;12 13 14;15 04;05 09 |
1620 2238 4015 5364 6077 2016 3262 |
3330 4015 6069 7743 8712 3769 5154 |
1500 1500 1500 1500 1500 1500 1500 |
85 85 85 85 85 85 85 |
570 570 570 570 570 570 570 |
| 08 08 08 08 08 |
Classique Classique Classique Classique Rés. étanche |
04;05 06;07;08;09 10;11 14 05;06;07;08 |
484 660 861 1052 594 |
897 1092 1316 1529 1020 |
180 179 180 180 180 |
75 75 75 75 75 |
171 170 171 171 171 |
| 09 09 09 09 09 09 09 09 |
Classique Classique Classique Classique Classique Rés. étanche Rés. étanche Rés. étanche |
03 04 06;07;08;09 10;11 14 04 05 06;07;08;09 |
1054 1281 1752 2184 4531 1426 1356 1688 |
1755 1994 2552 3751 6325 2328 2244 2611 |
270 270 270 270 269 270 270 270 |
80 80 80 80 80 80 80 80 |
81 81 81 81 81 81 81 81 |
| 10 | Classique | 06;07;08;14 | 199 | 380 | 150 | 53 | 14 |
| 11 11 11 11 11 11 11 11 11 |
Classique Classique Classique Classique Classique Classique Classique Rés. étanche Rés. étanche |
04 05;06 07;08 10 11 13 14;15 UprColr MdlMnvl;LwrMnvl |
515 657 1005 1174 1459 1013 1700 525 1050 |
954 1102 1465 1683 2006 1545 2332 972 1526 |
270 270 270 270 270 270 270 270 270 |
55 71 75 75 75 75 75 55 75 |
99 99 99 99 99 99 99 99 99 |
| 12 12 12 12 |
Classique Classique Classique Classique |
06;07;08 13 14 15 |
206 273 537 999 |
631 676 931 1424 |
414 414 414 414 |
56 55 89 94 |
112 112 112 112 |
| 13 13 13 13 13 |
Classique Classique Rés. étanche Rés. étanche Rés. étanche |
05 11 05 06;07;08 11 |
1195 1665 1195 1558 1665 |
2125 2650 2125 2531 5550 |
300 300 300 300 300 |
80 80 80 80 80 |
2345 2345 2345 2345 2345 |
| 14 14 14 14 14 14 |
Classique Classique Classique Classique Rés. étanche Rés. étanche |
06;07;08 10;11 12;13 14;15 Tri Perm;Miss |
762 1010 1348 2314 935 1317 |
1355 1733 2010 3139 5550 5950 |
285 430 430 430 430 430 |
100 100 100 100 100 100 |
261 261 261 261 261 261 |
| 15 15 15 15 15 |
Classique Classique Classique Rés. étanche Schistes |
08 12;13 14;15 14 Schistes |
935 787 3358 2849 3223 |
1480 1315 4275 3630 6424 |
413 413 415 415 415 |
75 65 75 75 75 |
1970 1970 1970 1970 1970 |
| 16 16 |
Classique Classique |
05;06;07;08 10;11;12;13 |
2900 3489 |
4623 5278 |
300 354 |
85 85 |
927 927 |
| 17 | Rés. étanche | 04 | 100 | 161 | 40 | 35 | 145 |
| 18 18 |
Classique Classique |
05 07;08;13 |
185 257 |
385 465 |
109 | 64 | 144 |
Annexe 11 - Frais d’exploitation et de traitement en 2009
| Rég. | Type de Ressource |
Groupe de ressources |
Frais d’exploitation variables | Frais d’exploitation fixes | Frais de traitement | ||
|---|---|---|---|---|---|---|---|
| en $/10³m³ | en $/Kpi³ | en $/mois | en $/10³m³ | en $/Kpi³ | |||
| 00 00 |
CBM CBM |
HSC principal Mannville |
17,75 17.75 |
0,50 0,50 |
1000 1000 |
21,30 21,30 |
0,60 0,60 |
| 01 01 01 01 |
Classique Classique Classique Rés. étanche |
Tert;UprCret;UprColr Colr Mnvl UprColr |
8,21 8,53 8,53 8,33 |
0,23 0,24 0,24 0,23 |
775,00 927,79 976,71 775,00 |
28,39 28,39 33,19 28,39 |
0,80 0,80 0,94 0,80 |
| 02 02 02 02 02 02 02 |
Classique Classique Classique Classique Rés. étanche Rés. étanche Rés. étanche |
Tert;UprCret;UprColr Colr MdlMnvl;LwrMnvl Jur;Miss UprColr Colr LwrMnvl |
8,82 8,82 9,10 10,61 8,82 8,82 9,11 |
0,25 0,25 0,26 0,30 0,25 0,25 0,26 |
1050,00 1050,00 1169,27 1488,11 1050,00 1050,94 1174,70 |
40,82 40,82 44,20 46,63 40,82 40,84 44,36 |
1,15 1,15 1,25 1,31 1,15 1,15 1,25 |
| 03 | Classique | Miss;UprDvn | 24,02 | 0,68 | 15608,35 | 42,29 | 1,19 |
| 04 04 04 |
Classique Classique Rés. étanche |
UprCret;UprColr Colr;Mnvl UprColr |
9,79 9,40 9,33 |
0,28 0,26 0,26 |
1458,60 1655,21 1500,00 |
35,23 32,62 24,85 |
0,99 0,92 0,70 |
| 05 05 05 05 05 05 |
Classique Classique Classique Classique Rés. étanche Rés. étanche |
Tert;UprCret Colr Mnvl Miss;UprDvn Colr Mnvl |
8,87 8,87 8,87 8,87 8,87 10,65 |
0,25 0,25 0,25 0,25 0,25 0,30 |
1987,13 2260,80 2677,18 2700,00 1513,68 1780,83 |
24,85 25,56 28,11 34,02 28,39 32,65 |
0,70 0,72 0,79 0,96 0,80 0,92 |
| 06 06 06 06 06 06 06 06 |
Classique Classique Classique Classique Classique Classique Rés. étanche Rés. étanche |
Tert UprCret;UprColr Mnvl LwrMnvl;Jur Miss UprDvn Colr Mnvl |
8,13 11,18 16,19 16,19 17,16 17,26 11,23 16,24 |
0,23 0,31 0,46 0,46 0,48 0,49 0,32 0,46 |
1450,00 3023,25 3076,63 3303,56 3882,48 4015,78 3050,00 3098,99 |
24,85 25,56 26,98 28,39 35,49 39,84 25,56 26,98 |
0,70 0,72 0,76 0,80 1,00 1,12 0,72 0,76 |
| 07 07 07 07 07 07 07 |
Classique Classique Classique Classique Classique Rés. étanche Rés. étanche |
UprColr Colr;Mnvl Jur;Tri;Perm Miss UprDvn;MdlDvn UprColr;Colr Jur |
34,39 34,28 34,28 34,28 34,28 34,39 34,11 |
0,97 0,97 0,97 0,97 0,97 0,97 0,96 |
9250,00 9250,00 9250,00 9250,00 9250,00 9250,00 9250,00 |
28,84 23,07 28,23 30,12 31,97 26,53 23,96 |
0,81 0,65 0,80 0,85 0,90 0,75 0,68 |
| 08 08 08 08 08 |
Classique Classique Classique Classique Rés. étanche |
UprColr;Colr Mnvl;Jur Tri UprDvn Colr;Mnvl |
16,14 20,83 21,00 27,11 20,95 |
0,45 0,59 0,59 0,76 0,59 |
3318,83 3747,86 3890,68 3924,53 3629,14 |
19,49 27,17 31,15 42,59 25,79 |
0,55 0,77 0,88 1,20 0,73 |
| 09 09 09 09 09 09 09 09 |
Classique Classique Classique Classique Classique Rés. étanche Rés. étanche Rés. étanche |
UprCret UprColr Mnvl;Jur Tri UprDvn UprColr Colr Mnvl;Jur |
19,17 19,17 18,73 18,76 22,42 19,17 19,17 21,12 |
0,54 0,54 0,53 0,53 0,63 0,54 0,54 0,59 |
3960,00 3960,04 3612,30 3949,03 6502,57 3960,00 3960,00 3583,83 |
10,65 10,65 12,89 15,52 22,97 10,65 10,65 10,94 |
0,30 0,30 0,36 0,44 0,65 0,30 0,30 0,31 |
| 10 | Classique | Mnvl;UprDvn | 7,68 | 0,22 | 2692,26 | 18,88 | 0,53 |
| 11 11 11 11 11 11 11 11 11 |
Classique Classique Classique Classique Classique Classique Classique Rés. étanche Rés. étanche |
UprColr Colr;UprMnvl MdlMnvl;LwrMnvl UprTri LwrTri Miss UprDvn;MdlDvn UprColr MdlMnvl;LwrMnvl |
10,65 10,65 7,81 7,81 7,81 7,81 8,87 10,65 10,65 |
0,30 0,30 0,22 0,22 0,22 0,22 0,25 0,30 0,30 |
4000,00 4032,82 5000,00 5000,00 4500,00 5000,00 6000,00 4000,00 4050,00 |
17,75 17,75 17,75 25,12 26,42 22,99 23,04 17,75 17,75 |
0,50 0,50 0,50 0,71 0,74 0,65 0,65 0,50 0,50 |
| 12 12 12 12 |
Classique Classique Classique Classique |
Mnvl Miss UprDvn MdlDvn |
8,56 12,05 12,43 11,28 |
0,24 0,34 0,35 0,32 |
4439,71 5151,16 5514,04 6053,42 |
17,78 27,39 36,44 39,74 |
0,50 0,77 1,03 1,12 |
| 13 13 13 13 13 |
Classique Classique Rés. étanche Rés. étanche Rés. étanche |
Colr LwrTri Colr Mnvl LwrTri |
16,51 17,88 16,51 17,26 17,26 |
0,47 0,50 0,47 0,49 0,49 |
3550,00 4450,00 3550,00 4069,35 4450,00 |
10,65 12,42 10,65 10,65 14,20 |
0,30 0,35 0,30 0,30 0,40 |
| 14 14 14 14 14 14 |
Classique Classique Classique Classique Rés. étanche Rés. étanche |
Mnvl Tri Perm;Miss UprDvn;MdlDvn Tri Perm;Miss |
15,97 15,97 15,97 15,97 15,97 15,97 |
0,45 0,45 0,45 0,45 0,45 0,45 |
2400,00 4500,00 7200,00 4400,00 4500,00 5200,00 |
33,19 33,92 31,94 31,05 32,89 33,72 |
0,94 0,96 0,90 0,87 0,93 0,95 |
| 15 15 15 15 |
Classique Classique Classique Rés. étanche Shale |
LwrMnvl Perm;Miss UprDvn;MdlDvn UprDvn Shale |
9,92 9,97 14,20 9,88 9,88 |
0,28 0,28 0,40 0,28 0,28 |
3500,00 3800,00 4500,00 3800,00 3800,00 |
29,28 26,62 29,28 26,62 26,62 |
0,83 0,75 0,83 0,75 0,75 |
| 16 16 |
Classique Classique |
Colr;Mnvl Tri;Perm;Miss |
14,86 13,63 |
0,42 0,38 |
3975,00 4723,03 |
7,99 7,99 |
0,23 0,23 |
| 17 | Rés. étanche | UprColr | 9,44 | 0,27 | 1125,00 | 21,30 | 0,60 |
| 18 18 |
Classique Classique |
Colr MdlMnvl;LwrMnvl;Miss |
10,04 10,46 |
0,28 0,29 |
1775,00 2368,60 |
21,30 28,12 |
0,60 0,79 |
Annexe 12 - Taux de rendement en 2009
Cette annexe est disponible en format tableur Excel [EXCEL 283 ko].
Annexe 13 - Comparaison des valeurs clés de 2007 et 2009
Cette annexe est disponible en format tableur Excel [EXCEL 253 ko].
Annexe 14 - Composantes du coût de l’offre en 2009
Cette annexe est disponible en format tableur Excel [EXCEL 264 ko].
- Date de modification :