Guide de dépôt – Électricité – Chapitre 6 – Évaluation des effets environnementaux et socioéconomiques
- 6.1 Introduction
- 6.2 Démarche de la Régie en matière d’évaluation environnementale et socioéconomique
- 6.3 Portée de l’évaluation environnementale et socioéconomique
- 6.4 Niveau de détail de l’évaluation
- 6.5 Description du contexte environnemental et socioéconomique
- 6.6 Évaluation des effets
- But
- 6.6.1 Recensement et analyse des effets
- 6.6.2 Mesures d’atténuation
- Exigences de dépôt
- Orientation
- Mesures d’atténuation
- Options d’atténuation
- Plan de protection de l’environnement
- Version provisoire du plan de protection de l’environnement
- Version définitive du plan de protection de l’environnement
- Modification du plan de protection de l’environnement
- Plan de gestion des déchets
- Atténuation des effets potentiels découlant d’un accident ou d’une défaillance
- 6.6.3 Évaluation de l’importance des effets
- 6.7 Évaluation des effets cumulatifs
- 6.8 Inspection, surveillance et suivi
- But
- Exigences de dépôt
- Orientation
- 6.9 Lignes directrices supplémentaires sur les émissions de gaz à effet de serre et les changements climatiques
- Éléments à prendre en compte pour évaluer les effets d’un projet sur les engagements du gouvernement du Canada en matière de changements climatiques
- 1. Ampleur des émissions de GES
- 2. Mesures d’atténuation pour contrer les émissions de GES
- 3. Applicabilité des lois, règlements et politiques pertinents en matière de changements climatiques
- 4. Plan d’émissions nettes nulles
- 5. Incidence du projet sur les efforts du Canada pour réduire les émissions de GES
- 6. Résilience aux changements climatiques
- 7. Émissions en amont
- Prise de décisions et conditions
- Tableau 6-3 : Information exigée à l’égard des éléments socioéconomiques
- Éléments à prendre en compte pour évaluer les effets d’un projet sur les engagements du gouvernement du Canada en matière de changements climatiques
6.1 Introduction
Le présent chapitre décrit les responsabilités de la Régie et le processus d’évaluation environnementale et socioéconomique de celle-ci et indique les renseignements qui doivent être fournis pour qu’une demande soit complète. Le chapitre 6 se divise en deux grandes parties.
Les sections 6.2 à 6.4 visent à aider le demandeur à comprendre la façon dont un projet est évalué et les renseignements qui doivent être fournis :
6.2 – Démarche de la Régie en matière d’évaluation environnementale et socioéconomique;
6.3 – Portée d’une évaluation environnementale et socioéconomique;
6.4 – Niveau de détail de l’information.
Le demandeur est invité à lire attentivement les sections 6.2 à 6.4, qui l’aideront à comprendre les exigences formulées dans les sections suivantes.
La deuxième partie du chapitre (sections 6.5 à 6.8) décrit les renseignements que le demandeur devrait inclure dans l’évaluation environnementale et socioéconomique du projet :
6.5 – Description du contexte environnemental et socioéconomique;
6.6 – Évaluation des effets;
6.7 – Évaluation des effets cumulatifs;
6.8 – Inspection, surveillance et suivi.
Outre la description du projet (abordée au chapitre 3 et au chapitre 4 du présent guide), le demandeur devrait décrire :
- le contexte environnemental et socioéconomique en général;
- les effets positifs et négatifs prévus du projet sur l’environnement socioéconomique et biophysique tout au long de la durée de vie du projet;
- les méthodes qui seront employées pour analyser les effets, et les raisons expliquant le choix de ces méthodes;
- les mesures d’atténuation proposées;
- l’importance prévue des effets résiduels et des effets cumulatifs résiduels du projet.
Figure 6-1 : Processus d’évaluation environnementale et socioéconomique du demandeur

Description du graphique
La figure 6-1 ci-dessus donne un sommaire visuel du processus EES qui est décrit au complet dans ce chapitre.
Le niveau de détail exigé par la Régie dans une demande varie selon :
- la nature et la portée du projet;
- les effets prévus du projet;
- l’intérêt que suscite le projet dans la population.
Le demandeur doit fournir un raisonnement valable, fondé sur des faits, pour justifier l’analyse et les conclusions relatives aux enjeux relevés et aux effets environnementaux et socioéconomiques du projet.
Le tableau 6-1 de la section 6.4 indique dans quelles circonstances il faut fournir des renseignements détaillés sur des éléments biophysiques et socioéconomiques particuliers du projet et traite de toutes les étapes du cycle de vie du projet visé par la demande (construction, exploitation, entretien et cessation d’exploitation), y compris des possibilités d’accident et de défaillance à chacune des étapes. Le tableau 6-S et le tableau 6-3 répertorient ces exigences d’information.
6.2 Démarche de la Régie en matière d’évaluation environnementale et socioéconomique
La LRCE accorde un vaste mandat à la Commission, qui peut se pencher sur des questions lui semblant directement liées aux lignes internationales et pertinentes pour rendre une décision ou présenter des recommandations. Les responsabilités de la Commission sur les plans environnemental et socioéconomique comprennent quatre volets :
- l’évaluation des effets potentiels de la construction et de l’exploitation des projets envisagés;
- la surveillance et l’application des conditions imposées avant, pendant et après la construction;
- la surveillance et la réglementation permanentes des activités d’exploitation, y compris la désaffectation des installations;
- l’évaluation des effets potentiels de la cessation d’exploitation.
Par l’évaluation environnementale et socioéconomique, la Commission veille à ce que :
- les effets potentiels d’un projet soient examinés attentivement avant toute décision donnant l’aval au projet;
- les projets ne soient pas susceptibles d’entraîner des effets négatifs importants ni de contribuer à produire des effets cumulatifs négatifs importants;
- la population en général et les peuples autochtones aient la possibilité de participer de manière constructive au processus;
- les processus ainsi que les décisions ou les recommandations de la Commission soient transparents et tiennent compte des observations faites par les personnes qui participent aux processus d’évaluation d’impact et d’examen réglementaire.
6.3 Portée de l’évaluation environnementale et socioéconomique
6.3.1 Qu’est-ce que la détermination de la portée d’un projet?
La détermination de la portée est à la base même d’une évaluation environnementale et socioéconomique efficace et efficiente.
La portée assure que l’évaluation visera les véritables enjeux et préoccupations et elle aide à déterminer le niveau d’effort à consacrer à l’évaluation. Bien établie, la portée réduit le risque d’inclure des éléments sans importance ou non pertinents ou d’exclure des éléments importants. La détermination de la portée vise à établir :
- les installations matérielles et les activités concrètes à prendre en compte dans l’évaluation;
- les éléments biophysiques et socioéconomiques susceptibles d’être perturbés.
Complément d’information
La section 6.7.1 renferme des renseignements sur la détermination de la portée qui touchent plus particulièrement l’évaluation des effets cumulatifs.
6.3.2 Rôle du demandeur dans la détermination de la portée
Le rôle du demandeur dans la détermination de la portée consiste à :
- fournir à la Commission suffisamment de renseignements pour lui permettre de bien comprendre la nature du projet à évaluer;
- s’assurer que l’évaluation environnementale et socioéconomique faite par le demandeur porte sur les véritables enjeux et préoccupations, notamment ceux relevés par les parties touchées, et que le niveau de détail de l’évaluation est suffisant;
- tenir compte des éléments énoncés au paragraphe 183(2) de la LRCE. La Régie s’attend à recevoir du demandeur une évaluation environnementale et socioéconomique complète.
Afin d’aider le demandeur à déterminer la portée de l’évaluation avant de présenter sa demande, la Régie l’encourage à :
- solliciter une rencontre avec le personnel de la Régie pour discuter des points qui se rattachent au processus et examiner des exemples d’évaluations environnementales et socioéconomiques déposées auparavant auprès de la Régie (section 1.6 Notes d’orientation concernant les rencontres préparatoires au dépôt de la demande);
- consulter tout document d’orientation pertinent de l’Agence d’évaluation d’impact du Canada relatif à la détermination de la portée d’une évaluation et, si cela est indiqué, discuter de la détermination de la portée avec toute autre autorité fédérale compétente;
- s’il y a lieu, consulter les autres organismes de réglementation provinciaux, territoriaux et municipaux compétents ou des différents ordres de gouvernement autochtones.
Une demande doit clairement mentionner, décrire et justifier :
- la portée du projet visé par la demande;
- les autres ouvrages et activités nécessaires à la réalisation du projet, notamment les installations accessoires directement liées au projet comme les voies d’accès, en particulier les traversées temporaires et permanentes de ponts, ou les baraquements de chantier;
- les autres ouvrages et activités susceptibles d’être menés si le projet visé est approuvé, ce qui peut comprendre les autres lignes de transport d’électricité ou les ouvrages directement liés au projet envisagé.
6.3.3 La Régie et la détermination de la portée
La portée du projet comprend les installations matérielles et les activités concrètes qui constituent ce même projet et lui permettent de se dérouler de la façon prévue dans la demande du demandeur. Elle peut aussi comprendre d’autres installations matérielles et activités concrètes prévues si le projet devait aller de l’avant après approbation conformément à la demande déposée.
La Commission établit la portée du projet en tenant compte de la jurisprudence qui s’applique, des notes d’orientation de l’Agence d’évaluation d’impact du Canada et de tout autre commentaire pertinent.
La Commission passera en revue et évaluera la portée de l’évaluation environnementale et socioéconomique en fonction de la preuve à sa disposition. Bien que des éléments du projet ou la portée des éléments à examiner puissent changer au fil de l’instance (à la suite des commentaires exprimés par des communautés autochtones ou de changements apportés au projet, par exemple), la demande constitue habituellement la principale source d’information et le point de départ pour déterminer ce sur quoi la Commission se penchera au moment de l’évaluation d’impact d’un projet.
Dans le cas des projets assujettis à une audience publique, la Commission publiera une liste des questions qui définissent les enjeux sur lesquels elle se penchera pendant l’audience. Dans cette liste, les questions environnementales sont habituellement énoncées de façon assez large de manière que tous les effets environnementaux qui s’appliquent puissent être étudiés. Il faut savoir que la nature des exigences présentées dans le présent Guide de dépôt permet de produire un document permanent de détermination de la portée sans que la Régie n’ait à en produire un distinct pour chaque projet.
Complément d’information
Les exigences précisées dans le présent Guide de dépôt à l’égard de la portée constituent, pour l’essentiel, un document général pour la portée de l’évaluation pouvant s’appliquer à tout projet d’installations. La description du projet dans la demande du demandeur définit la portée du projet. Si l’information fournie ne permet pas à la Commission de bien comprendre la portée, elle exigera d’autres renseignements, ce qui pourrait prolonger le processus d’évaluation.
Orientation
Portée du projet
Afin de déterminer si des installations matérielles ou des activités concrètes qui ont un lien direct avec le projet proposé, mais qui ne relèvent pas nécessairement de la Régie, doivent être examinées, la Commission pourra se poser les questions suivantes :
- Est-ce que l’installation matérielle ou l’activité concrète dépend du demandeur du projet principal visé par la demande aux termes de la LRCE?
- Est-ce que la Régie, un autre ministère ou organisme fédéral ou provincial ou un autre organisme ou personne peut assurer la mise en application des mesures d’atténuation ou de suivi?
- Est-ce que les effets des autres installations matérielles et activités concrètes sont connexes à la décision ou à la recommandation de la Commission en vertu de la LRCE?
Activités concrètes désignées aux termes de la Loi sur l’évaluation d’impact
Les activités concrètes réglementées par la Régie et désignées aux termes du Règlement sur les activités concrètes sont assujetties à la Loi sur l’évaluation d’impact, et l’Agence d’évaluation d’impact du Canada effectuera un examen intégré de concert avec la Régie. Le paragraphe 22(1) de cette loi énonce les facteurs qui doivent être pris en compte par la commission d’examen durant l’évaluation d’impact d’un projet désigné.
6.4 Niveau de détail de l’évaluation
La nature du projet, de même que le contexte environnemental et socioéconomique, aide à déterminer l’étendue des interactions entre le projet et l’environnement. Ces interactions constituent la base pour prévoir les effets et comprendre le niveau de détail requis de l’information sur le contexte, les interactions et les effets prévus. Le degré d’intérêt de la population peut aussi être un indice du niveau de détail que devrait fournir le demandeur.
Si le projet est susceptible d’avoir une incidence sur des communautés autochtones et leur utilisation du territoire à des fins traditionnelles, sur un traité ratifié ou potentiel ou sur des droits établis, le demandeur doit recenser les communautés autochtones susceptibles d’être touchés et mener des activités de mobilisation efficaces auprès d’eux, afin de prendre connaissance de leurs points de vue et de leurs préoccupations. Si des effets potentiels sont relevés, le demandeur doit déposer des renseignements sur les communautés autochtones touchés, sur les préoccupations exprimées et la manière dont il prévoit les résoudre, et sur toute autre préoccupation non résolue. Le niveau de détail devrait tenir compte de la nature et de l’ampleur des effets, de la nature des droits ou intérêts susceptibles d’être lésés et du degré de préoccupation des communautés autochtones.
Le demandeur doit effectuer une analyse comparative entre les sexes plus (« ACS+ ») afin de relever les répercussions possibles sur divers groupes de personnes, notamment sur les groupes définis selon leur sexe recensés, puis de concevoir des processus de mobilisation pour faciliter leur participation efficace. En présence d’effets potentiels, le demandeur doit déposer de l’information sur la façon dont ces groupes ont été recensés, les méthodes de consultation employées pour faciliter leur participation, de même que les préoccupations soulevées et les solutions possibles trouvées. La quantité de détails et la profondeur des renseignements devraient être à la mesure de l’envergure et de la portée du projet, notamment ses effets potentiels, et des préoccupations exprimées. Les projets de moindre envergure ou ceux susceptibles d’avoir des effets limités et de faible ampleur pourraient ne pas exiger des renseignements aussi détaillés.
Les renseignements fournis par le demandeur dans son évaluation environnementale et socioéconomique doivent être assez complets pour que la Commission puisse :
- définir les limites spatiales et temporelles des interactions entre le projet et l’environnement biophysique et humain;
- répertorier les effets potentiels du projet;
- relever les effets potentiels de l’environnement sur le projet;
- déterminer l’importance de ces effets.
Complément d’information
À titre d’exemple, il est vraisemblable d’envisager qu’un ouvrage franchissant un petit cours d’eau saisonnier pendant la saison sèche et ne nécessitant aucun ouvrage ni aucune activité dans une zone vulnérable de pêche exigerait moins de détails sur les effets sur le poisson et l’habitat du poisson qu’un projet exigeant des travaux d’aménagement dans un cours d’eau où vivent des poissons durant la période du frai.
Le demandeur doit justifier clairement le niveau de détail fourni. À cette fin, il doit habituellement fournir les renseignements suivants :
- Description du projet : Renseignements expliquant comment le projet franchirait le cours d’eau (méthode privilégiée et méthode de rechange) et si des ouvrages ou travaux de construction seraient nécessaires dans le cours d’eau ou dans ses environs immédiats et, le cas échéant, la nature de ces ouvrages et la méthode employée pour les réaliser.
- Contexte environnemental : Renseignements sur le type de cours d’eau, les rives, les zones riveraines, les structures soumises à l’érosion, la pêche et le potentiel d’habitat du poisson.
- Interactions : Renseignements exposant le calendrier de construction proposé, la couverture spatiale des interactions, les pertes potentielles pour les zones riveraines ou l’habitat du poisson et l’étendue de tout rejet de substances nocives dans le cours d’eau.
- Effets prévus : Renseignements sur les effets directs et indirects éventuels sur la qualité de l’eau, l’habitat et le poisson – et le stade de développement –, ainsi que les effets sur les autres espèces sauvages.
- Résultats des consultations auprès d’autres organismes de réglementation : Renseignements décrivant les consultations menées, le cas échéant, auprès de Pêches et Océans Canada, ou les mesures devant être adoptées pour se conformer à la Loi sur les pêches en matière de protection dans ce domaine.
L’évaluation environnementale et socioéconomique doit renfermer des renseignements quantitatifs et qualitatifs. Le demandeur doit tenir compte de la mesure dans laquelle peuvent enrichir l’évaluation les cartes détaillées, le relevé ou l’étude, les données sur les tendances et les schémas ou illustrations se rattachant à des aspects précis de l’élément biophysique ou socioéconomique suscitant un intérêt ou une préoccupation. Le nombre et le type d’éléments biophysiques et socioéconomiques à examiner dans une évaluation environnementale et socioéconomique et le niveau de détail nécessaire pour étayer les renseignements fournis peuvent varier beaucoup selon les circonstances et les questions soulevées relativement au projet.
Le tableau 6-1 ci-dessous donne des exemples des nombreuses circonstances où il faut fournir des renseignements détaillés et traite de toutes les étapes du cycle de vie du projet visé par la demande (construction, exploitation, entretien et cessation d’exploitation), y compris des possibilités d’accident et de défaillance à chacune des étapes. Lorsque les circonstances relevées au tableau 6-1 existent, le tableau 6-2 et le tableau 6-3 décrivent les détails précis à inclure.
Tableau 6-1 : Circonstances et interactions nécessitant une information détaillée sur les éléments biophysiques et socioéconomiques
Éléments biophysiques et socioéconomiques |
Circonstances et interactions exigeant une information détaillée (en tenant compte de toutes les étapes du projet, y compris des possibilités d’accident et de défaillance à chacune des étapes) |
|---|---|
Milieu physique et environnement météorologique |
|
Sol et productivité du sol |
|
Végétation |
|
Qualité et quantité d’eau |
|
Poisson et habitat du poisson |
|
Milieux humides |
|
Faune et habitat faunique |
|
Habitat d’espèces en péril ou d’espèces à statut particulier |
|
Émissions atmosphériques |
|
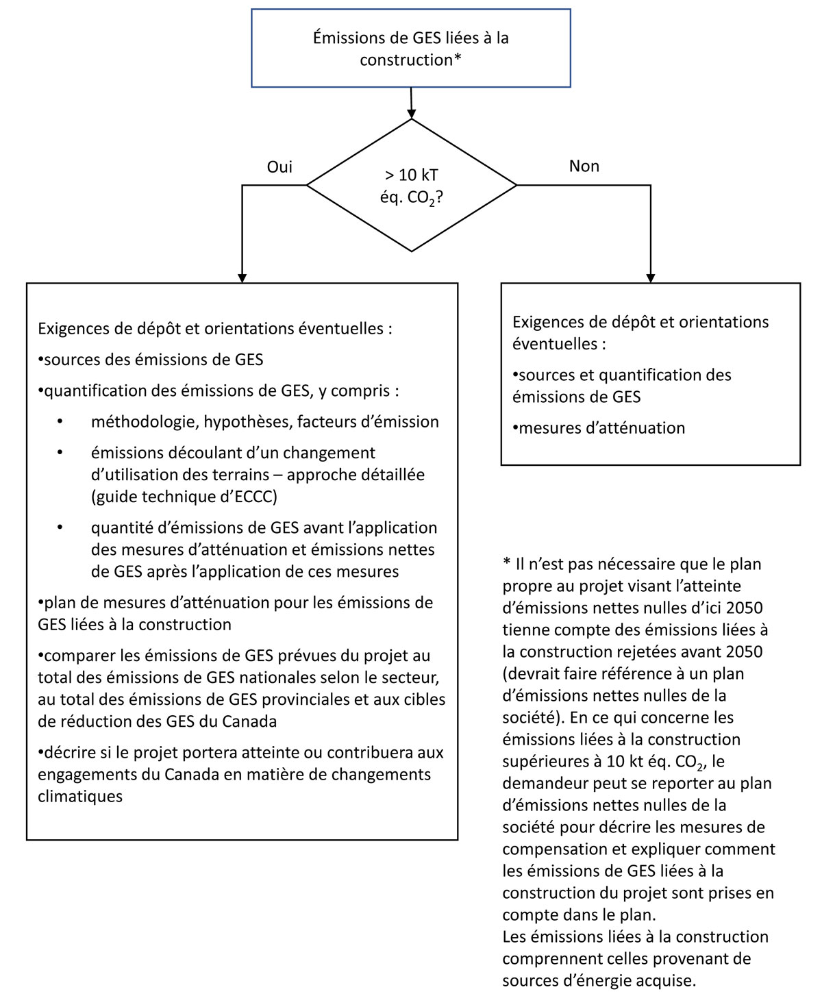
| Émissions de gaz à effet de serre et changements climatiques | La LRCE exige pour les demandes visant certains projets que la Commission prenne en considération des éléments précis, notamment :
Cette exigence s’applique expressément aux pipelines [alinéa 183(2)j)], aux certificats concernant les lignes de transport d’électricité [alinéa 262(2)f)] et aux autorisations pour les projets d’énergie renouvelable extracôtière ou les lignes de transport d’électricité extracôtières [alinéa 298(3)f)]. Il s’agit d’un volet qui comporte deux éléments distincts, soit les engagements relativement aux changements climatiques et les obligations en matière d’environnement. Cette section traite des engagements à l’égard des changements climatiques tandis que les obligations en matière d’environnement sont abordées plus loin. |
Environnement acoustique |
|
Électromagnétisme et effluve électrique |
|
Occupation humaine et utilisation des ressources |
|
Ressources patrimoniales |
|
Navigation et sécurité en matière de navigation |
|
Usage des terres et des ressources à des fins traditionnelles |
|
Bien-être socioculturel |
|
Santé et aspects esthétiques |
|
Infrastructure et services |
|
Emploi et économie |
|
Obligations en matière environnementale |
La LRCE exige pour les demandes visant certains projets que la Commission prenne en considération des éléments précis, notamment :
Cette exigence s’applique expressément aux pipelines [alinéa 183(2)j)], aux certificats concernant les lignes de transport d’électricité [alinéa 262(2)f)] et aux autorisations pour les projets d’énergie renouvelable extracôtière ou les lignes de transport d’électricité extracôtières [alinéa 298(3)f)]. Il s’agit d’un volet qui comporte deux éléments distincts, soit les engagements relativement aux changements climatiques et les obligations en matière d’environnement. Cette section traite des obligations en matière d’environnement tandis que les engagements à l’égard des changements climatiques sont abordés plus loin. Remarque : Cet article de la LRCE concorde avec l’alinéa 22(1)s) de la Loi sur l’évaluation d’impact. L’Agence d’évaluation d’impact du Canada a élaboré des lignes directrices sur l’évaluation des obligations du Canada en matière d’environnement. Toute version future de ces lignes directrices pourrait avoir des incidences sur les futures exigences de dépôt qui concernent les demandes visant des projets présentés en vertu de la LRCE. |
Droits des peuples autochtones |
La LRCE exige pour les demandes visant certains projets que la Commission prenne en considération tous les éléments qui lui semblent pertinents et qui sont directement liés au projet, dont certains bien précis, notamment :
Cette exigence s’applique expressément aux pipelines [alinéa 183(2)j)], aux certificats concernant les lignes de transport d’électricité [alinéa 262(2)e)] et aux autorisations pour les projets d’énergie renouvelable extracôtière ou les lignes de transport d’électricité extracôtières [alinéa 298(3)e)]. Remarque : La Régie sait que l’Agence d’évaluation d’impact du Canada prépare des documents d’orientation qui renfermeront des directives sur l’évaluation des effets d’un projet sur les droits des peuples autochtones. Ces directives pourraient avoir des incidences sur les futures exigences de dépôt qui concernent les demandes visant des projets et leur évaluation par la Commission sous le régime de la LRCE. |
6.5 Description du contexte environnemental et socioéconomique
Il faut fournir une description du contexte environnemental et socioéconomique dans la zone d’étude (aussi appelée les « données de base ») pour permettre de prévoir les effets du projet envisagé. Ces informations de base donnent une toile de fond pour évaluer les effets du projet, y compris les effets cumulatifs de celui-ci. Le demandeur n’est pas tenu de fournir une description exhaustive des caractéristiques des composantes environnementales ou socioéconomiques sur lesquelles le projet n’aurait aucun effet.
But
La demande décrit, avec suffisamment de détails, les éléments biophysiques et socioéconomiques pour permettre de :
- relever les éléments importants présents dans la zone;
- répertorier les interactions entre le projet et l’environnement;
- relever, prévoir et analyser l’importance des effets du projet;
- recenser et prévoir les effets de l’environnement sur le projet;
- mettre au point des mesures d’atténuation et des programmes de surveillance convenables.
Exigences de dépôt
1. Répertorier et décrire les contextes biophysique et socioéconomique actuels de chaque élément (c.-à-.d. les données de base) du lieu où le projet serait réalisé. Fournir une carte à une échelle appropriée pour faire ressortir :
- la ou les zones d’étude et la méthode employée pour les définir;
- les principaux traits caractéristiques de classification écologique des terres et du terrain, comme les montagnes, les rivières, les lacs et les autres accidents de relief importants;
- les collectivités et les résidences (permanentes et temporaires) situées à proximité, et les points de repère importants;
- l’état actuel et les tendances de l’économie locale;
- les utilisations actuelles des terres et des ressources, y compris à des fins traditionnelles;
- la possibilité de se trouver en présence de ressources patrimoniales;
- les zones présentant des contraintes physiques et environnementales (p. ex., éléments biophysiques, utilisation des terres ou exploitation des ressources naturelles);
- les voies navigables qui peuvent être touchées par les différents éléments constitutifs du projet (p. ex., ponts temporaires ou permanents, terminaux maritimes et installations de chargement);
- la compatibilité du projet avec les plans d’aménagement régionaux;
- les zones écologiquement vulnérables, les habitats fragiles ou les zones préoccupantes (p. ex., zones protégées actuelles ou envisagées), y compris celles mises en lumière durant les activités de mobilisation du public ou des peuples autochtones, qui influent sur le tracé ou l’emplacement des installations;
- l’emplacement de toutes les installations proposées;
- une liste des projets ou des activités dans la zone visée par le projet.
Complément d’information
Si le milieu naturel a subi de profonds changements au fil des ans, et si des activités passées ou l’état antérieur du milieu naturel peuvent aider à évaluer des éléments particuliers, il y aurait lieu d’en faire aussi la description :
- quand remontent les activités passées pertinentes;
- les activités passées ou l’état antérieur de l’environnement.
Ces renseignements peuvent être particulièrement utiles pour évaluer les effets cumulatifs ou pour déterminer les données de base afin d’établir les objectifs de remise en état (p. ex., rétablissement de la végétation indigène).
2. Décrire les éléments biophysiques ou socioéconomiques de la zone d’étude qui revêtent de l’importance sur les plans écologique, économique ou humain et qui exigent une analyse plus détaillée compte tenu des résultats des activités de mobilisation (le tableau 6-1 contient des exemples). Lorsque les circonstances exigent des renseignements plus détaillés dans l’évaluation environnementale et socioéconomique,
- se reporter au tableau 6-2, Information exigée à l’égard des éléments biophysiques;
- se reporter au tableau 6-3, Information exigée à l’égard des éléments socioéconomiques.
3. Présenter des éléments de preuve (p. ex., renvoi à des ouvrages scientifiques, études sur le terrain, connaissances des collectivités et connaissances traditionnelles, évaluations d’impact antérieures et rapports de surveillance) à l’appui :
- des informations et données recueillies;
- des analyses effectuées;
- des conclusions tirées;
- tout jugement professionnel donné ou toute expérience invoquée pour satisfaire aux exigences d’information, et les raisons pour expliquer l’importance accordée à ce jugement ou à cette expérience.
4. Décrire les méthodes utilisées pour effectuer les relevés et les études (p. ex., ceux touchant la faune, les pêches, les plantes, les espèces en péril ou à statut particulier, les sols, les ressources patrimoniales ou l’usage des terres à des fins traditionnelles et ceux effectués pour établir le contexte de base concernant l’environnement atmosphérique et acoustique) et en prouver le bien-fondé. Si la saison retenue pour effectuer un relevé ou une étude n’était pas la meilleure, préciser les limites des résultats du relevé ou de l’étude ou le moment et la façon dont les autres relevés ou études seront réalisés.
5. Les demandeurs doivent consulter d’autres ministères fédéraux, provinciaux ou territoriaux qui sont experts du domaine ou d’autres autorités compétentes au sujet des données de base et des méthodes.
Orientation
Zone d’étude
L’étendue de la ou des zones d’étude doit être suffisante pour englober les limites spatiales de toutes les installations physiques et toutes les activités liées au projet (p. ex. les voies d’accès et les ponts temporaires et permanents).
La zone d’étude doit englober un périmètre d’au moins un kilomètre de chaque côté de la ligne de transport d’électricité. De plus, l’étendue et l’orientation de la ou des zones d’étude doivent permettre d’inclure tous les éléments importants susceptibles d’être touchés par le projet, par exemple :
- les lieux en aval et juste en amont;
- les zones où le projet peut se trouver à portée de la vue;
- les domaines vitaux et les comportements migratoires des espèces;
- les communautés touchées et les régions connues ou revendiquées comme étant des terres traditionnelles ou dont les ressources sont utilisées à des fins traditionnelles;
- les zones où l’infrastructure est touchée et où des infrastructures nouvelles ou améliorées sont nécessaires.
En général, la zone d’étude qui englobe les zones mentionnées ci-dessus s’étend bien au-delà d’un étroit couloir ou du site du projet. La section 6.7 fournit des renseignements supplémentaires sur la zone d’étude pour une évaluation des effets cumulatifs.
Source des données de base
Les données de base doivent comprendre de l’information scientifique, les connaissances des collectivités et les connaissances traditionnelles.
Les sources de renseignements et les méthodes de collecte des données employées pour décrire le contexte environnemental et socioéconomique de base peuvent comprendre :
- les études réalisées sur le terrain, y compris les méthodes adoptées pour des relevés précis;
- les recherches dans des bases de données, notamment celles des autorités fédérales, provinciales, territoriales et locales;
- les instructions nautiques, les indicateurs de voies navigables de plaisance, etc.
- les mesures effectuées sur le terrain pour collecter des données sur les niveaux ambiants et de fond pour la qualité de l’air ou l’environnement acoustique;
- les données de télédétection;
- les analyses documentaires;
- la documentation produite par des organismes gouvernementaux et des établissements universitaires;
- les données portant sur la récolte de ressources renouvelables;
- les opinions d’experts, les connaissances des collectivités et les connaissances traditionnelles (p. ex., organismes de réglementation, communautés autochtones, groupes communautaires, groupes voués à la conservation, organisations récréatives et pourvoyeurs locaux, notamment les groupes d’utilisateurs de voies navigables, ainsi que résidents, propriétaires de terrains et utilisateurs des terrains);
- les enquêtes statistiques, s’il y a lieu.
Pour établir la validité et l’exactitude des données de base ayant servi à l’évaluation environnementale et socioéconomique, le demandeur doit :
- décrire les protocoles d’échantillonnage, de relevé et de recherche ou les techniques adoptées pour chaque source d’information ou chaque méthode de collecte de données employée et en prouver le bien-fondé;
- indiquer les pratiques de tenue de dossiers appropriées qui ont été mises en place pour conserver les résultats des relevés aux fins de consultation ultérieure, notamment les mesures visant à assurer la confidentialité des renseignements de nature délicate contenus dans les études de l’utilisation des terres et des ressources à des fins traditionnelles par les peuples autochtones;
- quantifier et analyser statistiquement les données obtenues, lorsque cela est indiqué.
Complément d’information
La section 6.7.1 renferme des renseignements supplémentaires sur les données de base qui touchent plus particulièrement l’évaluation des effets cumulatifs.
6.5.1 Détermination du besoin de fournir une information détaillée sur des éléments biophysiques et socioéconomiques
Le demandeur doit fournir des renseignements complémentaires sur les éléments biophysiques et socioéconomiques du projet s’il y a des indications qu’ils suscitent des préoccupations dans le public, ou si une des circonstances relevées au tableau 6-1 existe. Le tableau 6-2 et le tableau 6-3 précisent les renseignements à inclure.
Les demandeurs noteront qu’une information détaillée n’est nécessaire que pour les éléments ayant potentiellement des effets environnementaux ou socioéconomiques. Il conviendra en outre de présenter des explications claires et défendables sur les raisons pour lesquelles un ou l’autre des éléments du tableau 6-1 n’a pas été abordé.
Analyse comparative entre les sexes plus (« ACS+ »)
La LRCE exige pour les demandes visant certains projets que la Commission prenne en considération des éléments précis, notamment :
-
« Les effets sur la santé et les effets sociaux et économiques, notamment en ce qui a trait à l’interaction du sexe et du genre avec d’autres facteurs identitaires. »
Cette exigence s’applique expressément aux pipelines [alinéa 183(2)c)], aux certificats concernant les lignes de transport d’électricité [alinéa 262(2)c)] et aux autorisations pour les projets d’énergie renouvelable extracôtière ou les lignes de transport d’électricité extracôtières [alinéa 298(3)c)].
Remarque : Ces articles de la LRCE concordent avec l’alinéa 22(1)s) de la Loi sur l’évaluation d’impact. La Régie sait que l’Agence d’évaluation d’impact du Canada prépare des documents d’orientation qui porteront sur l’interaction du sexe et du genre.Note de bas de page 2 Ces directives pourraient avoir des incidences sur les futures exigences de dépôt qui concernent les demandes visant des projets et leur évaluation par la Commission sous le régime de la LRCE.
Une analyse comparative entre les sexes plus (« ACS+ ») est un moyen de relever et d’analyser en quoi le sexe, le genre et d’autres facteurs identitaires peuvent faire en sorte que certains groupes de personnes sont touchés de différentes façons par un projet de pipeline ou de ligne de transport d’électricité. Les facteurs identitaires individuels et sociaux comprennent le sexe, le genre, la religion, la race, la position sociale, le revenu, l’âge, la capacité et la scolarité. Une ACS+ permet à la Commission de mieux connaître les éventuels effets disproportionnés d’un projet sur des groupes distincts de personnes, dont des populations vulnérables et des populations définies selon leur sexe.
L’analyse comparative entre les sexes n’est pas un nouvel élément de l’évaluation d’impact à la Régie; toutefois, la Régie apporte les modifications ci-après afin d’aider les sociétés à mieux recenser et prévoir les effets socioculturels d’un projet sur les collectivités. Cela comprend des directives sur la façon de prendre en considération l’ACS+ dans le Guide de mobilisation précoce de la Régie.
6.6 Évaluation des effets
But
La demande comprend des renseignements suffisamment complets sur les effets biophysiques et socioéconomiques potentiels du projet pour :
- relever et analyser la nature et l’ampleur de ces effets;
- dresser une liste des options d’atténuation pour protéger l’environnement biophysique et socioéconomique et analyser leur efficacité;
- déterminer l’importance des effets restants après l’atténuation, y compris celle des effets cumulatifs.
6.6.1 Recensement et analyse des effets
Exigences de dépôt
1. Décrire les méthodes employées pour prévoir les effets éventuels du projet sur les éléments biophysiques et socioéconomiques, ainsi que les effets de l’environnement sur le projet.
Le présent guide suppose le recours à la méthode de la composante valorisée pour évaluer les effets du projet visé par la demande sur les éléments biophysiques et socioéconomiques, ou sur un sous-ensemble de ces éléments (voir la note d’orientation ci-après), qui peuvent subir l’incidence d’un projet ou qui sont une source de préoccupation ou sont importants pour le public et les communautés autochtones. Le demandeur doit préciser les composantes valorisées pour lesquelles des effets sont prévus et justifier le choix et la manière de déterminer ces composantes.
Si une autre méthode est utilisée pour évaluer les effets potentiels sur les éléments biophysiques et socioéconomiques décrits dans le tableau 6-1, le tableau 6-2 et le tableau 6-3, le demandeur doit décrire cette méthode et la justifier.
Il faut fournir des détails sur toute incertitude importante à l’égard de l’analyse.
Si des connaissances ou une expérience professionnelles sont mentionnées, décrire l’étendue du jugement professionnel ou de l’expérience prise en considération, justifier le choix et expliquer le raisonnement à l’appui des conclusions tirées ou des décisions qui en découlent.
2. Prévoir les effets associés au projet envisagé, y compris ceux que pourraient entraîner la construction, l’exploitation, la désaffectation et la cessation d’exploitation, ou qui se produiraient en cas d’accidents ou de défaillances, de même que les effets que l’environnement est susceptible d’exercer sur le projet.
Complément d’information
Si aucune interaction n’est prévue entre les activités associées au projet et un élément biophysique ou socioéconomique quelconque, il n’est pas nécessaire de poursuivre l’analyse. Il faut cependant fournir une description assez complète du projet ou du contexte pour expliquer pourquoi aucune interaction n’est prévue.
Si un élément biophysique ou socioéconomique, ou la composante valorisée d’un tel élément, exige une analyse plus poussée (voir le tableau 6-1), il faut fournir l’information détaillée qui est indiquée au tableau 6-2 et au tableau 6-3. Sans s’y limiter, la liste doit comprendre une description et une quantification de ce qui suit :
- les limites spatiales et temporelles qu’il convient d’utiliser pour l’analyse des effets du projet sur chaque élément biophysique ou socioéconomique, ou sur la composante valorisée, associé au projet;
- les conditions locales et régionales caractérisant chaque élément biophysique ou socioéconomique, ou la composante valorisée (soit l’emplacement, la distribution, l’abondance, l’état, la vulnérabilité au projet, la capacité de régénération et la variation naturelle des composantes valorisées, s’il y a lieu), y compris les changements prévus par rapport aux données de base si le projet se réalise;
- les facteurs qui influent sur les changements, les facteurs limitant et la variation naturelle de chaque composante valorisée, si ces renseignements sont connus;
- l’ampleur et la réversibilité de tout changement prévu par rapport aux données de base;
- les objectifs (p. ex., les stratégies de rétablissement, les plans d’action, les plans de gestion et les plans d’utilisation des terrains) et les seuils de gestion à l’échelle locale, régionale et fédérale ainsi que la façon dont les effets du projet influent sur ces stratégies, plans, objectifs ou seuils;
- la méthode employée pour toute modélisation, y compris les hypothèses utilisées et les limites des modèles;
- l’information relative aux exigences de déclaration à tous les ordres de gouvernement (p. ex., pour les gaz à effet de serre), si c’est le cas.
Pour chaque composante valorisée, fournir l’information à l’appui utilisée dans l’analyse des effets du projet, ou y faire référence, par exemple :
- les observations du public;
- les consultations auprès d’autres organismes de réglementation, ministères et organismes gouvernementaux;
- la documentation scientifique;
- les connaissances des collectivités et les connaissances traditionnelles;
- les rapports d’étape;
- les plans de rétablissement, d’action et de gestion approuvés pour les espèces en péril;
- les études de suivi et de cas tirés d’autres projets.
Orientation
Le recensement et l’analyse des effets du projet reposent directement sur la portée, la description du contexte environnemental et socioéconomique et la prise en compte des éléments décrits ci-dessus relativement au niveau de détail.
En règle générale, le demandeur se sert de la méthode de la composante valorisée pour axer l’analyse des effets sur des éléments pratiques et représentatifs du contexte biophysique et socioéconomique. Les composantes valorisées peuvent être les éléments généraux décrits aux tableau 6-1, tableau 6-2 et tableau 6-3 ou un sous-ensemble représentatif de ces éléments. Ainsi, l’analyse des effets potentiels se concentre sur les composantes des éléments biophysiques ou socioéconomiques présentant des interactions projet-environnement qui sont plus faciles à évaluer de même que sur les interactions qui peuvent être source de préoccupation pour le public ou les communautés autochtones (souvent appelées composantes environnementales valorisées ou composantes socioéconomiques valorisées). Les composantes valorisées choisies doivent :
- illustrer les effets prévus que le projet est susceptible de causer au fil du temps;
- permettre d’obtenir les données de base nécessaires pour déterminer l’importance des effets;
- permettre de tenir compte des changements mesurables qui découlent des effets du projet au fil du temps.
- avoir une portée suffisante pour relever les différents effets selon divers groupes de personnes, notamment ceux catégorisés en fonction du sexe ou du genre, selon ce que l’ACS+ a fait ressortir;
- avoir une portée suffisante pour reconnaître les effets potentiels sur l’exercice de droits ancestraux, dont les effets sur les ressources utilisées ou requises pour l’exercice de ces droits, sur les lieux ciblés d’importance culturelle consacrés à cet exercice et sur les traditions culturelles, lois et systèmes de gouvernance d’une communauté autochtone, sans oublier la façon dont ces systèmes dictent le mode d’exercice des droits en question.
L’analyse devrait permettre, le cas échéant, de mieux comprendre les incertitudes entourant les interactions entre le projet et l’environnement et de repérer les renseignements manquants pour prévoir les effets.
Limites spatiales et temporelles
Les limites spatiales et temporelles doivent :
- être définies pour chaque composante valorisée et être accompagnées du raisonnement appliqué pour leur choix;
- inclure la zone où les effets sur la composante valorisée pourraient être ressentis. Cette zone pourrait comprendre les limites géographiques d’une population, d’un domaine vital, d’un bassin atmosphérique, d’un bassin hydrologique, d’une région où les terres et les ressources sont utilisées à des fins traditionnelles par les peuples autochtones ou d’un district de planification municipal ou régional;
- préciser la période pendant laquelle la composante valorisée peut être affectée;
- tenir compte des effets du projet sur la composante valorisée et de la mesure dans laquelle ces effets sont quantifiables;
- inclure toutes les étapes du projet;
- faire abstraction des limites de compétence.
Analyse
La méthode d’analyse doit être entièrement exposée et satisfaire aux besoins de l’étude. En plus de satisfaire aux exigences d’autres lois et règlements (p. ex., la Loi sur les espèces en péril, la Loi de 1994 sur la convention concernant les oiseaux migrateurs et la Loi sur les pêches), l’analyse des effets du projet doit tenir compte des politiques, ainsi que des objectifs et des seuils de gestion (p. ex., les programmes de rétablissement, les plans d’action, les plans de gestion et les plans d’utilisation des terrains) à l’échelle locale, régionale et fédérale. En l’absence d’objectifs ou de seuils de gestion, il faut inclure des renseignements sur l’état actuel des connaissances relatives à la composante valorisée. Après une revue de la documentation accessible, si l’état des connaissances est incomplet ou s’il y a de grandes incertitudes, mentionner le manque de renseignements, puis préciser si la situation sera rectifiée et, le cas échéant, comment elle le sera. En cas d’incertitudes au sujet des effets du projet sur la composante valorisée, expliquer comment le programme d’inspection et de surveillance les atténuera.
Les connaissances des collectivités et les connaissances traditionnelles qui sont pertinentes doivent être incluses à l’évaluation environnementale et socioéconomique. Pour obtenir plus de détails sur la mobilisation des personnes et des peuples autochtones et sur la présentation de connaissances autochtones, voir la section 5.3 Résultats des activités de mobilisation liées au projet.
Évaluation des effets découlant d’un accident ou d’une défaillance
L’un des buts de la Régie est d’assurer la prévention des accidents et défaillances liés à un projet assujetti à sa réglementation. Si un accident ou une défaillance se produit, la Régie tient la société réglementée responsable de l’intervention appropriée conformément à son programme de gestion des situations d’urgence.
L’évaluation environnementale et socioéconomique du demandeur doit préciser et évaluer les effets sur les travailleurs, le public et les éléments biophysiques et socioéconomiques de tous les accidents et de toutes les défaillances susceptibles de se produire.
Un accident ou une défaillance, et la situation d’urgence qui en découle, peut avoir un grand nombre de causes : défaillance d’un équipement, erreur humaine, désastre naturel tel qu’une tornade, un ouragan, une inondation ou un tremblement de terre, acte terroriste ou autre activité criminelle. Un incident à risques multiples, tel qu’un tremblement de terre, peut causer des dommages à des installations, un incendie ou une explosion et entraîner des dommages corporels et matériels supplémentaires.
Le niveau de détail à fournir sur les effets potentiels d’un accident ou d’une défaillance varie selon :
- le type de projet envisagé, son envergure et son emplacement;
- les vulnérabilités environnementales et socioéconomiques des zones susceptibles d’être touchées par le projet;
- la mesure dans laquelle le programme de gestion des situations d’urgence et les autres plans et manuels du demandeur répondent aux questions et préoccupations sur le projet.
Cessation d’exploitation
La cessation d’exploitation d’une ligne internationale requiert-elle le dépôt d’une demande auprès de la Régie?
En ce qui concerne les demandes visant la construction et l’exploitation d’une ligne internationale, il est possible que les incertitudes inhérentes à l’exercice de prévoir une phase d’un projet qui ne se concrétisera que dans plusieurs décennies limitent le niveau de détail fourni. Cependant, une demande de cessation d’exploitation devrait préciser les éléments du projet qui seront retirés du service et les méthodes employées pour remettre l’emprise dans un état comparable à l’environnement immédiat.
6.6.2 Mesures d’atténuation
Exigences de dépôt
1. Exposer les mesures d’atténuation courantes et propres au projet proposées pour remédier aux effets du projet et leur pertinence, ou indiquer clairement les sections des manuels de la société qui prévoient les mesures d’atténuation voulues. Il faut s’assurer que les manuels cités sont à jour et qu’ils ont été déposés antérieurement auprès de la Régie.
Complément d’information
Pour connaître les directives sur la manière de se reporter à des renseignements déposés antérieurement auprès de la Régie, voir la section 1.5 Documents déposés antérieurement.
- Si plus d’une mesure est proposée comme possibilité pour atténuer un effet en particulier, indiquer les critères qui seront appliqués pour choisir celle à retenir ou décrire comment les mesures seront combinées pour atténuer un effet donné.
- Si l’on envisage d’employer des mesures d’atténuation novatrices, fournir tout résultat d’essais ou en justifier le bien-fondé sur le plan technique et décrire comment leur efficacité sera évaluée.
- S’assurer que les mesures d’atténuation sont appropriées, vu l’envergure des effets prévus.
- Si les effets du projet sont inévitables, les mesures d’atténuation doivent les réduire ou les compenser.
- Si le demandeur confie la préparation de son évaluation environnementale et socioéconomique à un tiers, fournir une déclaration engageant le demandeur à adopter et à mettre en œuvre toutes les recommandations présentées dans l’évaluation relativement aux mesures d’atténuation. Si certaines recommandations ne sont pas adoptées, en exposer la raison et proposer d’autres démarches, s’il y a lieu.
- Indiquer les conditions visant l’atténuation des effets environnementaux ou socioéconomiques qui sont liées à l’obtention d’une approbation ou d’un permis exigé par tout autre organisme de réglementation.
2. Veiller à ce que les engagements à l’égard des mesures d’atténuation soient communiqués au personnel sur le terrain par l’entremise d’un plan de protection de l’environnement, en vue de leur mise en œuvre. Bien qu’un plan de protection de l’environnement simple et concis suffise en ce qui concerne les projets dont l’envergure et la complexité sont moindres, la Régie peut exiger un plan détaillé dans le cas de certains projets (voir l’orientation ci-après). Le plan doit faire état de tous les engagements concernant l’environnement qui sont particuliers au projet et de tous les autres plans et programmes sur lesquels il repose, ou y faire référence à tout le moins. Décrire les plans ou programmes qui pourraient être employés pour atténuer les effets potentiels (p. ex., plan de gestion des déchets, plan de gestion des espèces envahissantes, plan d’urgence lié au forage directionnel horizontal, plan d’intervention en cas de découverte de ressources patrimoniales, etc.).
3. Décrire les plans et mesures pour contrer les effets potentiels d’un accident ou d’une défaillance en cours de construction ou d’exploitation du projet (voir l’orientation de la section 6.6.1, sous « Recensement et analyse des effets »).
Orientation
Mesures d’atténuation
Les mesures d’atténuation sont :
- élaborées au moment de l’étude de faisabilité du projet;
- élaborées lors de la conception du projet;
- définies dans le plan du projet;
- peaufinées au fur et à mesure que l’évaluation environnementale et socioéconomique progresse et que les effets environnementaux et socioéconomiques prévus se précisent;
- des mesures courantes ou propres au projet, s’il y a lieu.
Le demandeur peut présenter en même temps l’inventaire et l’analyse des effets et des mesures d’atténuation.
Options d’atténuation
À l’étape de la demande d’approbation du projet envisagé, il est possible que de nombreuses mesures d’atténuation soient encore préliminaires et qu’elles dépendent de la conception détaillée du projet et des conditions environnementales sur le site de celui-ci. En pareille situation, l’évaluation environnementale et socioéconomique devrait décrire :
- les divers moyens d’atténuation qui pourraient être utilisés et qui sont envisagés;
- les critères qui seront employés pour choisir les mesures d’atténuation qui seront retenues.
L’inclusion des mesures d’intervention de rechange et des critères de sélection dans le plan de protection de l’environnement peut éviter au demandeur de devoir présenter des demandes de modification à la Régie si des changements dans les conditions sur le terrain l’obligent à envisager des solutions de rechange pour la construction.
Complément d’information
Il peut arriver que le tracé ou le site proposé, des segments de tracé, ainsi que des méthodes de conception et de construction des installations constituent des solutions de remplacement aux mesures d’atténuation proposées pour un tracé et des méthodes de conception et de construction envisagées antérieurement. En pareil cas, il faut en faire état dans les solutions de rechange contenues dans la demande (voir la section 4.5) en :
- précisant les particularités de la conception et les méthodes de construction considérées comme des mesures d’atténuation;
- indiquant les solutions de rechange envisagées pour ces particularités ou méthodes, ainsi que le tracé proposé;
- fournissant une analyse comparative des mesures d’atténuation envisagées.
Plan de protection de l’environnement
Bien que la Régie s’attende à ce qu’un plan de protection de l’environnement soit élaboré pour chaque projet, l’envergure et la portée du plan varieront d’un projet à l’autre. Particulier à un projet, le plan de protection de l’environnement est un moyen employé pour communiquer les procédures de protection de l’environnement et les mesures d’atténuation de la société aux employés, aux entrepreneurs et aux organismes de réglementation. Le but d’un tel plan est de documenter et de communiquer, d’une manière claire et limpide, tous les engagements pris par le demandeur sur le plan de l’environnement à l’égard du projet visé ainsi que les mesures d’atténuation qui s’y rattachent.
La Commission peut exiger qu’un plan exhaustif soit déposé pendant son examen d’une demande ou comme condition d’approbation à satisfaire avant le début des travaux de construction. La Commission peut s’attendre à ce qu’un plan détaillé lui soit présenté dans les circonstances suivantes :
- lorsque le demandeur ne lui a pas remis les manuels de la société qui documentent les mesures de protection de l’environnement;
- lorsque les mesures d’atténuation ou de protection propres au site ou au projet sont fournies par le demandeur en guise d’engagements pour éviter ou contrer des effets environnementaux négatifs prévus dans la demande;
- lorsque la demande et le processus d’évaluation sont longs ou complexes et les mesures de protection de l’environnement sont documentées et disséminées dans le document (p. ex., les réponses aux demandes de renseignements).
En règle générale, un plan de protection de l’environnement détaillé est exigé dans le cas d’une demande visant de grandes installations. En pareil cas, la Régie encourage la société à présenter une ébauche de plan renfermant toutes les mesures de protection de l’environnement et toutes les mesures d’atténuation préliminaires en même temps que sa demande afin de faciliter l’examen de celle-ci par la Commission. Il arrive souvent qu’une fois le projet approuvé, la Régie exige le dépôt d’un plan de protection de l’environnement à jour avant le début de la construction.
Le demandeur devrait inclure les éléments suivants dans son plan de protection de l’environnement :
- les buts précis visés en ce qui concerne la protection des éléments environnementaux et la prise en compte des éléments socioéconomiques;
- une description des objectifs de protection de l’environnement relativement à chaque but ainsi que les mesures d’atténuation de rechange pour atteindre ces objectifs, compte tenu des conditions propres au site;
- les critères à partir desquels on décidera des mesures et des procédures à appliquer et du moment de leur mise en œuvre.
Version provisoire du plan de protection de l’environnement
Si le demandeur présente une version provisoire de plan avec sa demande, ce document devrait faire état des renseignements suivants :
- la raison d’être du plan de protection de l’environnement, un résumé du projet accompagné d’une carte et une description de la manière dont la conformité aux exigences environnementales sera respectée;
- les mesures d’atténuation propres aux ressources qui seront prises pour le projet et les mesures générales de protection de l’environnement qui seront employées à chaque étape de la construction;
- les dessins et devis de construction pertinents pour appliquer les mesures d’atténuation relatives à l’environnement et les cartes-tracés environnementales correspondantes;
- les autres plans détaillés, s’il y a lieu (p. ex., un plan de gestion des déchets, des plans de gestion des urgences et de la sûreté, des plans d’intervention d’urgence et d’autres plans et programmes de gestion propres à un élément);
- l’attribution des responsabilités relativement à la mise en œuvre des pratiques et des procédures, à la prise des décisions en fonction des critères définis et à la confirmation du respect du plan de protection de l’environnement;
- une liste des personnes avec qui communiquer pour déclarer un incident environnemental, selon les exigences des autres organismes de réglementation.
Version définitive du plan de protection de l’environnement
La version définitive du plan de protection de l’environnement détaillé doit :
- inclure tous les éléments requis dans la version provisoire;
- le cas échéant, inclure un tableau de concordance ou de modifications afin de préciser les changements par rapport à la version provisoire du plan;
- intégrer tous les engagements en matière d’environnement pris pendant le processus d’examen de la demande par la Régie, notamment toutes les exigences énoncées dans un permis, une ordonnance, un certificat ou un autre document d’autorisation;
- renfermer une copie de toute analyse ou évaluation faite par la Régie à l’égard de questions environnementales définies dans le certificat ou l’ordonnance de la Régie ou jointes à ceux-ci;
- faire état de toutes les exigences supplémentaires découlant de la réalisation, avant la construction, d’études réalisées sur le terrain au cours d’une saison particulière;
- indiquer les coordonnées GPS des zones écologiquement vulnérables relevées dans les études;
- inclure les cartes-tracés environnementales qui résument toutes les questions environnementales pertinentes et les mesures d’atténuation correspondantes qui seront mises en œuvre pendant la construction.
Modification du plan de protection de l’environnement
Il incombe à la société de présenter à la Régie une demande de modification des engagements pris dans la demande, au cours du processus d’évaluation de la demande ou, le cas échéant, dans les conditions d’approbation du projet. Il est donc avantageux pour le demandeur de décrire les critères qui seront appliqués pour choisir les mesures et les procédures à appliquer et le moment de leur mise en œuvre. En pareil cas, les documents déposés peuvent donner assez de latitude pour permettre d’apporter les changements qui sont ressortis sur le terrain et ainsi éviter au demandeur de devoir faire une demande de modification.
Le gestionnaire de projet aux opérations de la Régie affecté au projet ou à l’activité peut fournir plus de renseignements sur les demandes de modification.
Plan de gestion des déchets
Le demandeur doit fournir un plan de gestion des déchets pour le contrôle des déchets contaminés et non contaminés du projet. Ce plan doit exposer sa raison d’être et décrire le type de déchets prévus et les mesures de prévention et d’atténuation à prendre pour gérer ces déchets, et il doit préciser la manière dont les exigences relatives à la présentation de l’information seront respectées. Le plan doit enfin comporter une structure hiérarchique, une liste de personnes-ressources et des renvois aux lois applicables.
Atténuation des effets potentiels découlant d’un accident ou d’une défaillance
Il peut y avoir lieu pour le demandeur de prendre en considération ses programmes, plans et manuels dans le contexte des effets potentiels d’un accident ou d’une défaillance.
Il est aussi possible pour le demandeur de considérer des plans et engagements propres au projet dans le même contexte. Tel qu’il est indiqué à la section 6.1, au besoin, le demandeur doit intégrer ces aspects dans les programmes de la société.
6.6.3 Évaluation de l’importance des effets
Exigences de dépôt
1. Après la prise en compte des mesures d’atténuation appropriées, recenser tous les effets résiduels du projet.
2. Décrire la méthode et les critères employés pour déterminer l’importance des effets négatifs, notamment à quel point un effet particulier sur une composante valorisée est considéré comme « important ».
3. Évaluer l’importance des effets environnementaux et socioéconomiques résiduels négatifs en fonction des critères définis.
4. Évaluer la probabilité que le projet ait des effets environnementaux et socioéconomiques résiduels qui sont néfastes et prouver le bien-fondé des conclusions tirées.
Orientation
L’évaluation des effets environnementaux et socioéconomiques consiste à déterminer si :
- les effets sont négatifs;
- les effets négatifs sont importants;
- les effets négatifs importants sont susceptibles de se manifester.
Une façon courante de déterminer les effets du projet consiste à comparer la qualité de l’environnement existant à la qualité prévue des conditions qui prévaudront si le projet est approuvé et réalisé. L’orientation des changements qui affectent les conditions environnementales détermine si les effets sont négatifs, neutres ou positifs.
Il peut être utile d’employer les critères suivants pour déterminer si les effets négatifs d’un projet sont importants :
- l’ampleur;
- la durée;
- la fréquence;
- l’étendue géographique;
- le contexte écologique;
- la réversibilité et la permanence des effets.
Avant d’appliquer ces critères à chaque effet résiduel, le demandeur doit les définir et en préciser le champ d’application. Afin de faciliter l’évaluation de l’importance d’un effet particulier et de définir le seuil à partir duquel il est considéré comme « important », il peut être utile de fournir des facteurs de notation (p. ex., faible, modéré et élevé) pour chaque critère d’importance, et de les définir. Le demandeur doit aussi indiquer comment chaque critère ou combinaison de critères a été utilisé pour qualifier l’importance d’un effet.
Les définitions des facteurs de notation devraient être quantitatives et s’appuyer sur des normes, des lignes directrices, des objectifs, ou d’autres seuils écologiques établis et acceptés. En l’absence de tels repères ou d’une telle orientation en matière de réglementation, ou dans les situations où ces facteurs ne sont pas quantitatifs (p. ex., il est possible qu’il ne soit pas approprié d’établir des seuils ou « limites de changements acceptables » à l’égard de tous les effets socioéconomiques), les facteurs doivent être définis qualitativement à partir de comptes rendus de recherche. Le demandeur doit également tenir compte du niveau et de la nature des préoccupations exprimées par le public et donner suite à celles soulevées par les communautés autochtones susceptibles d’être touchés par le projet.
Il est aussi possible de mesurer l’importance des effets négatifs en comparant les effets aux exigences en matière de conformité dans des plans d’utilisation des terrains approuvés ou en réalisant une évaluation quantitative des risques.
Si l’on s’en remet à un jugement professionnel pour déterminer l’importance des effets négatifs, il faut décrire le niveau de confiance qu’on lui a accordée et expliquer pourquoi on a accordé une telle crédibilité à ce jugement. L’évaluation environnementale et socioéconomique du demandeur doit comprendre une évaluation de la probabilité que le projet ait des effets environnementaux négatifs et de leur gravité aux fins d’examen par la Commission.
La détermination de la probabilité d’effets négatifs importants doit tenir compte de la vraisemblance de leur occurrence et doit préciser le degré d’incertitude scientifique. Si l’on a recours à une évaluation qualitative de la probabilité que des effets négatifs importants se produisent, il faut exposer clairement le raisonnement et fournir les renseignements à l’appui.
6.7 Évaluation des effets cumulatifs
But
La demande doit renfermer des renseignements sur les interactions entre les effets environnementaux et socioéconomiques résiduels prévus du projet et les effets d’autres projets ou activités, courants ou à venir. Ces renseignements doivent être suffisamment étoffés pour :
- répertorier et analyser les effets environnementaux et socioéconomiques cumulatifs;
- relever les mesures d’atténuation proposées pour protéger l’environnement et pallier les effets socioéconomiques, et analyser leur efficacité;
- évaluer l’importance des effets cumulatifs prévus.
6.7.1 Détermination de la portée et analyse des effets cumulatifs
Exigences de dépôt
1. Relever les composantes valorisées pour lesquelles des effets résiduels sont attendus et décrire et motiver les méthodes utilisées pour prévoir les effets résiduels, le cas échéant.
Complément d’information
Les effets résiduels importants et non importants peuvent contribuer aux effets cumulatifs et doivent être analysés. On entend par « effets résiduels » les effets qui persistent après la mise en œuvre des mesures d’atténuation du demandeur. Si ce dernier peut démontrer qu’aucun effet résiduel n’est prévu, il n’y a pas lieu de pousser plus loin l’analyse des effets cumulatifs.
2. Pour chaque composante valorisée pour laquelle des effets résiduels ont été répertoriés, décrire et justifier les limites spatiales et temporelles employées pour évaluer les effets cumulatifs potentiels.
3. Relever les autres installations matérielles ou activités concrètes qui ont été réalisées ou qui le seront dans les limites spatiales et temporelles employées pour évaluer les effets cumulatifs.
4. Déterminer si les effets de ces installations matérielles ou activités concrètes passées ou futures sont susceptibles de se répercuter sur les composantes valorisées dans les limites spatiales et temporelles définies.
5. Dans le cas où des installations matérielles ou des activités concrètes pourraient avoir des effets sur les composantes valorisées pour lesquelles le projet envisagé est susceptible d’avoir des effets résiduels, il faut pousser plus loin l’évaluation des effets cumulatifs, comme suit :
- prendre en compte dans l’analyse les diverses composantes, étapes et activités associées au projet du demandeur qui pourraient interagir avec d’autres installations matérielles ou activités concrètes;
- décrire l’étendue des effets cumulatifs sur les composantes valorisées;
- si des connaissances ou une expérience professionnelles sont invoquées, expliquer dans quelle mesure on s’y est fié et préciser le raisonnement à l’appui des conclusions tirées ou des décisions prises.
Orientation
Évaluation des effets cumulatifs
L’évaluation des effets cumulatifs reprend pour l’essentiel la méthode décrite pour l’évaluation des effets propres à un projet. Comme l’expliquent les sections 6.3 à 6.6, les données de base, la description du projet et les mesures d’atténuation propres à celui-ci décrites dans la demande doivent être suffisamment détaillées pour permettre de définir l’étendue des effets résiduels du projet.
La section 6.6, le tableau 6-2 et le tableau 6-3 énoncent le type de renseignements requis pour l’évaluation des effets propres au projet. Même si l’on trouve dans les tableaux des notes précises concernant l’évaluation des effets cumulatifs des composantes valorisées, le demandeur devrait évaluer au besoin l’ensemble des exigences en matière d’information contenues dans les tableaux afin d’orienter la réalisation d’une évaluation des effets cumulatifs.
Une évaluation des effets cumulatifs diffère d’une évaluation classique des effets propres à un projet en ce sens qu’elle porte habituellement sur :
- une zone d’étude plus étendue;
- des périodes plus longues;
- les effets environnementaux et socioéconomiques associés à des installations physiques ou à des activités qui peuvent ne pas être directement liés au projet visé par la demande (p. ex., des installations situées en amont ou en aval ne relevant pas de la Régie, un projet de voie publique ou un quartier résidentiel situé dans la zone d’étude et des activités forestières ou agricoles continues);
- les limites spatiales qui ne tiennent habituellement pas compte des limites de compétence.
L’effort consacré à l’évaluation des effets cumulatifs et l’ampleur de cette dernière doivent être adaptés :
- à la nature et au contexte du projet évalué;
- à ses effets résiduels potentiels;
- au contexte environnemental et socioéconomique (p. ex., davantage de détails peuvent être nécessaires si une mise en valeur rapide ou intensive de la région a eu lieu ou est prévue ou encore en présence d’une vulnérabilité ou de risques sur le plan environnemental ou socioéconomique, comme une utilisation traditionnelle importante par les peuples autochtones).
Le demandeur est aussi invité à prendre connaissance de l’énoncé de politique opérationnelle de l’Agence d’évaluation d’impact du Canada intitulée Énoncé de politique opérationnelle – Évaluation des effets environnementaux cumulatifs en vertu de la Loi canadienne sur l’évaluation environnementale (2012).
Autres installations matérielles et activités concrètes
Expliquer clairement et justifier le raisonnement qui sous–tend le choix des autres installations matérielles ou activités concrètes, existantes ou futures, à inclure dans l’évaluation des effets cumulatifs. Au moment de répertorier ces autres installations matérielles ou activités concrètes, inclure celles dont la réalisation est probable, par opposition à celles qui ne sont pas raisonnablement prévisibles ou qui sont hypothétiques.
L’examen des autres installations matérielles ou activités concrètes, déjà exécutées ou futures, dans les limites spatiales et temporelles définies doit inclure, au moins :
- les projets et activités existants;
- les installations matérielles ou activités concrètes qui ont fait l’objet de plans ou de demandes en bonne et due forme ou dont la réalisation est probable;
- d’autres hypothèses liées à l’élaboration de projets ou d’activités à l’appui des hypothèses économiques et financières (chapitre 7) et techniques (chapitre 4), à long terme, et conformes à celles-ci présentées dans la demande, même si aucun plan ni aucune demande n’ont encore officiellement été déposés.
Les tribunaux ont établi que les autorités responsables, pour rendre leurs décisions, ne sont pas tenues « d’examiner des projets fantaisistes provenant de parties imaginaires et ne produisant que des effets hypothétiques ».Note de bas de page 3 La Commission peut toutefois examiner à sa discrétion des scénarios d’aménagement futur s’il est raisonnable de prévoir que le projet visé par la demande pourrait contribuer aux effets cumulatifs potentiels découlant d’un tel aménagement (c.-à-d. si la faisabilité économique du projet visé par la demande dépend de cet aménagement). La mesure dans laquelle le demandeur doit examiner les effets liés à d’autres installations matérielles et activités concrètes futures, et la profondeur de l’analyse, variera selon l’apport relatif du projet visé par la demande aux effets cumulatifs prévus.
Dans les cas où une mise en valeur intensive ou élargie de la région est en cours ou est prévue, il est particulièrement important de fournir des détails sur la souplesse des stratégies d’atténuation et de surveillance qui sont propres au projet. De tels détails devraient également être inclus à la demande afin de prouver la capacité du demandeur d’adapter ses plans si les effets cumulatifs découlant du projet devaient différer de ceux attendus (la section 6.8 renferme d’autres exigences de dépôt et notes d’orientation visant les activités de surveillance liées au projet).
La Régie reconnaît que la profondeur de l’analyse faite par le demandeur pour évaluer les effets liés à d’autres installations matérielles et activités concrètes futures dépend de la faisabilité et du caractère pratique de l’évaluation de ces effets. Par exemple, les effets futurs liés à des projets qui échappent au contrôle direct du demandeur et pour lesquels une information limitée est disponible ou qui en sont encore aux premières étapes de planification seront, en soi, plus difficiles à évaluer. Le demandeur devrait malgré tout utiliser les meilleurs renseignements disponibles ou entreprendre d’autres travaux pour évaluer ces effets potentiels. Toute incertitude quant à l’information employée, ainsi que toute hypothèse ou limite liée à l’analyse doit être expliquée.
6.7.2 Mesures d’atténuation des effets cumulatifs
Exigences de dépôt
1. Exposer les mesures d’atténuation générales et spécifiques, au-delà des mesures d’atténuation propres au projet déjà analysées, qu’il est techniquement et économiquement faisables d’appliquer pour remédier à tous les effets cumulatifs du projet.
- S’il y a lieu, indiquer toutes les mesures d’atténuation supplémentaires qui sont examinées en remplacement des mesures privilégiées pour le projet (p. ex., des mesures d’adaptation ou d’intervention d’urgence).
- S’il existe plus d’une mesure d’atténuation pour un effet cumulatif en particulier, indiquer les critères qui seraient employés pour choisir celle à retenir (p. ex., pour la mise en œuvre des plans d’intervention d’urgence).
- Si des mesures d’atténuation novatrices ou non éprouvées seront employées, fournir les résultats des essais ou le bien-fondé technique, et montrer comment leur efficacité serait évaluée.
- Préciser la probabilité de réussir à réduire ou à éviter les effets cumulatifs en recourant aux mesures d’atténuation recensées.
Orientation
Les mesures d’atténuation des effets cumulatifs peuvent comprendre des mesures de planification à plus grande échelle ou des initiatives pour réduire les interactions et les effets découlant de projets ou d’activités multiples. Les mesures d’atténuation des effets cumulatifs susceptibles d’être efficaces peuvent ne pas dépendre directement du demandeur ou être entreprises par lui. Par exemple, les exploitants peuvent disposer de plans pour éviter le chevauchement d’activités ou de projets, ou des exploitants peuvent collaborer pour utiliser des zones déjà perturbées afin d’éviter d’en créer de nouvelles. En outre, des initiatives multilatérales de planification à l’échelle régionale peuvent être évaluées comme moyens d’atténuer les effets cumulatifs. Lorsque de telles mesures ou initiatives sont en place, le demandeur devrait expliquer clairement pourquoi il juge que la mesure d’atténuation déterminée serait appropriée pour atténuer tout effet cumulatif. Si cette mesure échappe à son contrôle direct, il devrait préciser qui se chargera de sa mise en œuvre et de quelle façon la partie concernée surveillera la mise en place des mesures.
S’il y a lieu, le demandeur devrait envisager diverses formes de compensation (p. ex., compensations pour la perte d’habitat) à titre de mesures d’atténuation proposées.
Dans le cas où des programmes de surveillance ou de recherche émergeraient comme mesures permettant d’atténuer les effets cumulatifs de manière adaptative, le demandeur devrait indiquer clairement comment ces programmes seraient utilisés pour éviter ou réduire les effets (c.-à-d. les mesures de gestion qui seraient activées si certains effets écologiques ou socioéconomiques étaient relevés ou certains seuils atteints).
6.7.3 Évaluation de l’importance des effets cumulatifs par le demandeur
Exigences de dépôt
1. Après la prise en compte des mesures appropriées d’atténuation des effets cumulatifs, recenser les effets cumulatifs résiduels du projet
2. Décrire la méthode et les critères employés pour déterminer l’importance des effets cumulatifs résiduels négatifs et préciser le seuil à partir duquel chaque effet cumulatif sur une composante valorisée est considéré comme « important ».
3. Évaluer l’importance des effets cumulatifs résiduels négatifs en fonction des critères définis. Si l’effet cumulatif total sur une composante valorisée donnée est considéré comme important, évaluer l’augmentation des effets cumulatifs totaux causés par le projet.
4. Évaluer la probabilité que le projet ait des effets environnementaux et socioéconomiques cumulatifs résiduels qui sont néfastes et prouver le bien-fondé des conclusions tirées.
Orientation
Voir les notes d’orientation de la section 6.6.3 pour l’évaluation de la probabilité et de l’importance des effets environnementaux et socioéconomiques résiduels négatifs d’un projet donné. Pour l’essentiel, l’évaluation de l’importance des effets d’un projet précis se distingue de celle des effets cumulatifs par le fait que d’autres installations matérielles et activités concrètes sont prises en considération. L’évaluation de l’importance des effets doit porter principalement sur l’effet cumulatif total pouvant résulter de toutes les installations matérielles et activités concrètes qui sont analysées conjointement au projet envisagé. La définition de l’importance des effets doit être expliquée clairement et elle doit tenir compte des politiques, ainsi que des objectifs et des seuils de gestion (p. ex., les programmes de rétablissement, les plans d’action, les plans de gestion et les plans d’utilisation des terrains) à l’échelle locale, régionale et fédérale.
6.8 Inspection, surveillance et suivi
But
La demande décrit les plans et programmes de protection de l’environnement qui seront mis en œuvre pour prévoir, prévenir, atténuer et gérer les effets potentiels négatifs sur l’environnement pendant la durée de vie du projet.
Exigences de dépôt
1. Décrire de façon suffisamment détaillée les plans d’inspection visant à garantir le respect des engagements biophysiques et socioéconomiques pour faire la preuve de leur pertinence et de leur efficacité. Ces plans doivent :
- préciser les postes des personnes responsables qui seront chargées de surveiller et de garantir le respect des engagements, et d’en répondre;
- exposer les méthodes d’inspection et décrire les responsabilités et les obligations de rapport des inspecteurs de l’environnement;
- décrire les compétences minimales requises, y compris la formation et l’expérience, des personnes qui exerceront les fonctions d’inspection et de surveillance.
2. Décrire le programme de surveillance et de contrôle visant à assurer la protection de la ligne internationale, du public et de l’environnement. Le programme de surveillance doit être suffisamment détaillé pour prouver sa pertinence et son efficacité et doit faire état de ce qui suit :
- les méthodes pour :
- recenser les enjeux environnementaux et socioéconomiques et en assurer le suivi;
- résoudre les enjeux environnementaux et socioéconomiques particuliers du projet, ce qui comprend l’exécution de programmes d’échantillonnage ou d’enquêtes propres à chaque site, s’il y a lieu;
- vérifier l’efficacité des mesures d’atténuation et de remise en état, au regard des critères de remise en état fixés (voir les exigences relatives à chaque élément au tableau 6-2), ainsi que les mesures et les objectifs de rendement du demandeur pour chaque mesure d’atténuation;
- une description de la fréquence ou du calendrier de mise en œuvre des procédures relevées ci-dessus;
- les critères devant servir à déterminer si certains enjeux environnementaux et socioéconomiques doivent faire l’objet de mesures de surveillance particulières.
3. Tenir compte de tous les éléments propres à la demande qui sont plus préoccupants et déterminer si un programme de surveillance plus poussé visant ces éléments est nécessaire.
Orientation
La Régie reconnaît trois catégories de vérification menée par le demandeur. Ces catégories sont pertinentes tant pendant qu’après la construction, tout au long de la durée de vie des installations :
- l’inspection ayant pour but de confirmer la mise en œuvre des engagements pris pendant le processus de demande et le respect des conditions d’approbation imposées par la Régie afin de favoriser la sécurité, la sûreté et la protection de l’environnement;
- la surveillance visant à confirmer que les objectifs d’atténuation liés à un projet ou programme particulier ou à l’exploitation continue du projet ont été atteints;
- le recensement et la résolution des enjeux ou des effets à court ou à long terme qui sont survenus, mais qui n’avaient pas été prévus.
Un programme de surveillance plus rigoureux afin de confirmer l’efficacité d’un programme visant un élément précis peut être approprié dans les conditions suivantes :
- le projet ou l’activité touche à des sujets de préoccupation régionaux;
- le projet fait appel à une technologie nouvelle ou non éprouvée ou n’est pas courant;
- le projet comporte des effets incertains;
- le projet prévoit des mesures d’atténuation novatrices ou non éprouvées dont l’efficacité est incertaine;
- un projet familier ou de caractère courant est proposé dans un cadre environnemental ou socioéconomique nouveau ou peu connu.
- les conclusions tirées de l’évaluation environnementale et socioéconomique suscitent des doutes.
Une condition du certificat ou de l’ordonnance délivrée à l’égard du projet peut exiger du demandeur qu’il dépose des rapports de surveillance post-construction une fois la construction terminée. La période pour laquelle des rapports sont exigés peut varier, mais elle s’étend généralement d’une à cinq années après le début de l’exploitation. Si un projet qui nécessite une plus longue période pour atteindre les objectifs de la remise en état (p. ex., des travaux dans des zones où la végétalisation est difficile, comme la prairie indigène) ou la mise en place d’un programme approfondi pour un élément précis, il est possible que le demandeur doive fournir des rapports de surveillance plus rigoureux sur le plan scientifique ou pendant une période plus longue.
- Pour les activités concrètes désignées dans la Loi sur l’évaluation d’impact, un suivi relatif à des éléments ou à des préoccupations est nécessaire afin de :
- vérifier l’exactitude de l’évaluation environnementale;
- juger de l’efficacité des mesures d’atténuation prises pour réduire les effets négatifs du projet.
Le suivi consisterait généralement en un programme approfondi et rigoureux sur le plan scientifique.
Modification des plans et programmes du demandeur
La Régie encourage le demandeur à recourir à ses plans et programmes pertinents pour étayer les composantes inspection, surveillance et suivi de sa demande. Si ces plans ou programmes ont déjà été déposés auprès de la Régie, il faut indiquer le titre du document, la version, la date de sa dernière révision, la date du dépôt et le numéro de dossier de la Régie. Se reporter à la section 1.5 pour obtenir plus d’information sur ces documents. Si le projet est approuvé, le demandeur doit transmettre à la Régie toute mise à jour faite aux documents pour y intégrer le projet approuvé.
Il est conseillé d’indiquer des renseignements économiques et financiers lorsque les installations visées par la demande auront un ou plusieurs des résultats suivants :
- la construction d’une nouvelle ligne de transport d’énergie;
- un accroissement de la capacité d’une ligne de transport d’énergie existante réglementée par la Régie.
Complément d’information
Les exigences de dépôt d’une évaluation des effets sont décrites à la section 6.5 et à la section 6.6.
Le tableau 6-1 de la section 6.4 donne des exemples des circonstances et interactions pour lesquelles il faut fournir des renseignements détaillés et traite de toutes les étapes du cycle de vie du projet visé par la demande (construction, exploitation, entretien et cessation d’exploitation), notamment des possibilités d’accident et de défaillance à chacune des étapes.
Le tableau 6-2 vise à aider le demandeur à recenser les renseignements qui sont requis pour chacun des éléments biophysiques. Les éléments et circonstances contenus dans ces tableaux ne sont toutefois pas exhaustifs.
Le demandeur doit adapter son cadre ci-après de façon à présenter logiquement les détails et les analyses touchant son projet. Si les effets de ce dernier risquent de toucher plusieurs catégories d’éléments, il peut être indiqué de définir un élément mieux adapté ou plus précis. Par exemple, si la contamination du sol risque d’atteindre les eaux souterraines, il pourrait être pertinent d’évaluer un élément qui s’appellerait « contamination des eaux souterraines ». Il serait ainsi possible de mieux cerner l’enjeu, tout en évitant de répéter l’information dans les catégories « sol » et « eau », en plus de mieux cibler l’évaluation.
Tableau 6-2 : Information exigée à l’égard des éléments biophysiques
Environnement physique et météorologique |
|
|---|---|
Exigences de dépôt |
Orientation |
1. Décrire la topographie générale de la zone du projet ainsi que toute caractéristique physique particulière que franchirait le projet ou qui pourrait influer sur le projet. 2. Indiquer les endroits ayant un sol instable. 3. Indiquer les zones où il y a risque d’érosion par le vent ou par l’eau. 4. Décrire le climat local et régional. Noter également les risques d’événements météorologiques extrêmes comme les vents, les précipitations et les températures extrêmes. 5. Répertorier les zones où il y a présence potentielle de roches acides, et décrire les effets d’une exposition durant le projet. 6. Définir et décrire toute zone présentant des conditions de pergélisol. 7. Décrire comment les conditions physiques et météorologiques peuvent se répercuter sur le projet, notamment comment les conditions changeantes peuvent avoir une incidence sur le projet au fil de sa durée de vie. |
Cette section traite des renseignements sur les facteurs ou éléments importants qui peuvent influer sur la conception du projet. Une attention particulière doit être portée aux composantes ci-après, puisqu’elles peuvent être touchées directement ou indirectement par le projet, ou avoir des répercussions sur la conception de celui-ci :
Le climat à l’échelle locale et régionale devrait être caractérisé selon la variabilité, l’ampleur des changements climatiques (c.-à-d. la fréquence et la durée des températures les plus élevées et les moins élevées) et les moyennes climatiques. Dans les régions où il y a un risque de conditions météorologiques extrêmes, décrire et évaluer ces conditions sur les différents plans :
Décrire la réduction des menaces potentielles grâce aux normes de conception applicables (voir également les exigences de dépôt indiquées à la section 4.2.1 Détails de la conception technique). L’incidence des événements météorologiques doit aussi être prise en considération dans le contexte :
Dans les régions où il existe des régimes de pergélisol :
|
Sol et productivité du sol |
|
Exigences de dépôt |
Orientation |
1. Décrire les caractéristiques générales du sol et le niveau de perturbation actuel des sols. 2. Dans le cas de terres agricoles ou de sols forestiers offrant un potentiel agricole :
3. Décrire les contaminants préoccupants potentiellement associés au projet qui peuvent avoir des conséquences sur les sols. 4. Caractériser l’utilisation historique des terrains afin de déterminer si les sols et les sédiments pourraient être contaminés. Décrire toute contamination du sol connue ou soupçonnée dans la zone d’étude qui pourrait être remise en suspension, rejetée ou autrement perturbée à la suite du projet. 5. Si les sédiments ou les sols sont contaminés, décrire les normes réglementaires applicables et toutes les mesures de remise en état, d’atténuation et de surveillance qui seront prises. 6. Exposer les critères qui seront employés pour évaluer le succès de la remise en état. Expliquer de quelle façon cette évaluation serait exécutée et documentée. Les mesures de remise en état peuvent inclure, s’il y a lieu :
7. Dans les endroits où des effets résiduels ont été prévus, indiquer s’ils sont susceptibles de se combiner à ceux d’autres installations matérielles ou activités concrètes et étayer les renseignements ci-dessus, si nécessaire. |
Dans la description du profil des types de sol dominants, il faut examiner :
L’évaluation des sols et le plan de mesures d’atténuation doivent prendre en compte :
S’il existe des effets potentiels sur la santé, voir le tableau 6-3. Dans les endroits où l’on soupçonne une contamination des sols, il est recommandé de se reporter aux normes Z768-01 et Z769-00 de la CSA concernant les phases I et II de l’évaluation environnementale d’un site. Le Guide sur le processus d’assainissement de 2020 de la Régie peut aussi être utile. Autres sources d’orientation
|
Végétation |
|
Exigences de dépôt |
Orientation |
1. Pour des terrains où la végétation peut affecter le projet ou être affectée par le projet, décrire :
2. Décrire toutes les infestations de mauvaises herbes et autres espèces envahissantes ou introduites préoccupantes. 3. Décrire les procédures de revégétalisation qui seraient mises en œuvre dans le cadre du projet, ce qui comprend :
4. Exposer l’état dans lequel l’emprise et les aires de travail temporaires seront remises ou conservées une fois la construction terminée. Expliquer dans quelle mesure l’emprise doit être dégagée en tout temps ou peut présenter une certaine végétation et préciser les critères appliqués pour arriver à cette détermination. 5. Préciser les normes de maîtrise de la végétation qui s’appliqueraient durant la construction et l’exploitation du projet. Décrire le programme intégré de gestion de la végétation, y compris :
6. Exposer les critères d’évaluation visant à déterminer si la remise en état de la végétation est réussie et la manière dont l’évaluation serait effectuée et documentée 7. Dans les endroits où des effets résiduels ont été prévus, indiquer s’ils sont susceptibles de se combiner à ceux d’autres installations matérielles ou activités concrètes et étayer les renseignements ci-dessus, si nécessaire. |
La description des terres végétales ne vise pas les terrains à usage industriel. Les communautés végétales doivent reposer sur la classification écologique ou le système cartographique le plus pertinent et le plus récent. Faire un renvoi à tout répertoire territorial ou provincial existant ainsi qu’aux normes et directives en matière de cartographie. Des activités de mobilisation menées auprès des communautés autochtones susceptibles d’être touchés peuvent permettre de recueillir plus de renseignements. L’état de conservation (évalué par la province ou le Comité sur la situation des espèces en péril au Canada) des communautés écologiques et des espèces végétales doit être indiqué. Indiquer comment l’aire de distribution des communautés présentes dans la zone d’étude du projet a été délimitée (p. ex., levés existants, interprétation de données de télédétection ou levés sur le terrain). Préciser la date de collecte des données spatiales. S’il n’y a pas eu de reconnaissances sur le terrain, en exposer la raison. L’analyse des effets sur la végétation doit tenir compte de ce qui suit :
Des espèces indigènes adaptées aux conditions locales doivent être utilisées lorsque la revégétalisation vise à naturaliser ou à régénérer la zone. Les normes de gestion de la végétation doivent tenir compte :
Les programmes de maîtrise de la végétation, y compris la fréquence des travaux, de la surveillance et des inspections de l’état de la végétation dans l’emprise, ainsi que les méthodes employées à cet égard doivent tenir compte de ce qui suit :
Si l’emploi d’herbicides ou d’autres produits chimiques est envisagé, indiquer :
|
Qualité de l’eau et quantité d’eau |
|
Exigences de dépôt |
Orientation |
1. Fournir une évaluation de l’utilisation de l’eau propre au projet qui détermine et décrit les ressources en eau et la qualité des ressources susceptibles d’être touchées par le projet, y compris tout besoin d’eau prélevée des plans d’eau locaux, l’utilisation qui sera faite de l’eau, la quantité nécessaire, les plans d’eau devant servir à fournir l’eau, le débit ou le volume d’eau disponible dans les plans d’eau et la façon et l’endroit où les eaux usées seraient évacuées. 2. Décrire toutes les interactions entre le projet et l’eau souterraine. En cas d’interaction :
3. Décrire les contaminants préoccupants potentiellement associés au projet qui pourraient altérer la qualité de l’eau. 4. Décrire les mesures qui seraient prises pour atténuer les effets potentiels sur la quantité et la qualité de l’eau de puits, de surface ou souterraine, y compris la nécessité d’assurer une surveillance avant et après la construction. 5. Décrire tout plan de gestion de l’eau applicable. 6. Dans les endroits où des effets résiduels ont été prévus, indiquer s’ils sont susceptibles de se combiner à ceux d’autres installations matérielles ou activités concrètes et étayer les renseignements ci-dessus, si nécessaire. |
En ce qui a trait à la quantité ou à la qualité des eaux de surface ou souterraines (p. ex., lacs, cours d’eau, zones riveraines et plans d’eau ou structures artificiels), l’analyse des effets doit tenir compte d’éléments comme :
Les interactions entre le projet et les eaux souterraines peuvent découler du franchissement d’une nappe phréatique peu profonde ou d’activités propres au projet (p. ex., dynamitage). En pareil cas, tenir compte de l’étendue spatiale et de la profondeur de la nappe de même que des caractéristiques de l’eau (p. ex., salinité). Prendre en considération et décrire la possibilité que le projet ait des répercussions sur les taux d’évaporation et de transpiration et, par conséquent, sur l’utilisation de la terre en surface, particulièrement dans les régions agricoles. S’il y a un risque que des contaminants aient une incidence sur les ressources en eau, envisager d’échantillonner les sédiments et les eaux souterraines pour évaluer si des contaminants y sont présents. S’il existe des effets potentiels sur la santé, voir le tableau 6-3. Autres sources d’orientation
|
Poisson et habitat du poisson |
|
Exigences de dépôt |
Orientation |
1. Préciser les espèces de poissons et leurs stades de développement dans la zone d’étude, ainsi que leur contribution aux pêches locales ou leur importance écologique. 2. Décrire la répartition saisonnière, les périodes de vulnérabilité saisonnières, l’utilisation de l’habitat, les déplacements et l’état général de la population de poissons. 3. Préciser les politiques en matière de pêches, les mesures d’évitement et d’atténuation ainsi que celles destinées à protéger et à améliorer les populations de poissons et leurs habitats, y compris des aires protégées à l’intérieur de la zone d’étude ou à proximité de celle-ci. 4. Possibilité d’une autorisation aux termes de l’alinéa 35(2)b) de la Loi sur les pêches 5. Décrire en détail les zones vulnérables et les habitats sensibles, y compris les milieux humides et l’habitat riverain. 6. Dans les cas où des cours d’eau contenant des poissons ne seraient pas franchis au moyen de méthodes sans tranchée, décrire les techniques de franchissement qui seraient utilisées ou les critères de détermination des techniques proposées pour chaque franchissement, et justifier ce choix. 7. Préciser le moment des travaux dans le cours d’eau, y compris les périodes et les créneaux d’activités restreintes. 8. Exposer l’état dans lequel les lieux de franchissement de cours d’eau et les zones riveraines seront remis ou conservés, une fois la construction terminée. 9. Exposer les critères qui seront employés pour évaluer le succès de la remise en état des cours d’eau où vivent des poissons et de leurs berges ou zones riveraines. Expliquer quand et comment cette évaluation serait exécutée et documentée. 10. Dans les endroits où des effets résiduels ont été prévus, indiquer s’ils sont susceptibles de se combiner à ceux d’autres installations matérielles ou activités concrètes et étayer les renseignements ci-dessus, si nécessaire. |
Le demandeur devrait collaborer avec les autorités responsables des pêches pour répertorier les enjeux et déterminer les mesures d’atténuation appropriées et, le cas échéant, recenser les communautés autochtones. Lorsqu’il est nécessaire d’obtenir une autorisation de Pêches et Océans Canada, préciser les mesures de compensation et de surveillance de l’habitat nécessaires. En présence d’effets sur le poisson et l’habitat du poisson pouvant avoir une incidence sur la santé humaine, voir le tableau 6-3. Pêches et Océans Canada a produit plusieurs documents d’orientation qui pourraient aider les demandeurs à traiter des poissons et de leurs habitats. Prière de consulter le site Web national de ce ministère pour consulter les documents et notes d’orientation qui s’appliquent. |
Milieux humides |
|
Exigences de dépôt |
Orientation |
1. Décrire, délimiter et quantifier les milieux humides existant dans la zone d’étude, en précisant :
2. Indiquer et décrire la capacité des milieux humides à accomplir leurs fonctions du point de vue de l’hydrologie, de la qualité de l’eau, de la fourniture d’un habitat ou d’une autre fonction écologique. 3. Relever une zone d’étude régionale d’une étendue suffisante pour connaître les effets sur les milieux humides à l’intérieur du bassin hydrologique où ils se trouvent. Inclure les milieux humides situés à l’extérieur de la zone d’étude locale qui pourraient être touchés par les changements hydrologiques découlant des effets cumulatifs. 4. Préciser les efforts à fournir pour éviter les effets sur les milieux humides et les mesures d’atténuation, de surveillance et de compensation à l’égard de milieux humides susceptibles d’être touchés. 5. Dans les endroits où des effets résiduels ont été prévus, indiquer s’ils sont susceptibles de se combiner à ceux d’autres installations matérielles ou activités concrètes et étayer les renseignements ci-dessus, si nécessaire. |
Les milieux humides englobent les bogs, les fens, les marécages, les marais et les eaux peu profondes définis dans le Système de classification des terres humides du Canada (en anglais) (Groupe de travail national sur les terres humides, 1997). L’analyse des effets sur les milieux humides doit tenir compte de la perte potentielle de fonctions de ceux-ci. Il pourrait être nécessaire de faire une évaluation plus poussée pour les milieux humides d’importance provinciale, territoriale ou autochtone, et pour les caractéristiques ayant une importance particulière. Traiter de tout plan de classification provincial ou territorial, ainsi que des politiques et exigences en matière de protection. Les demandeurs doivent consulter ECCC au sujet des mesures d’atténuation pour les milieux humides. Autres sources d’orientation Parmi les sources d’information utiles accessibles par l’intermédiaire d’ECCC, on note les suivantes :
|
Faune et habitat faunique |
|
Exigences de dépôt |
Orientation |
1. Préciser les espèces sauvages se trouvant dans la zone d’étude qui revêtent une importance écologique, économique ou humaine. Préciser aussi :
2. Pour ce qui concerne les oiseaux dans la zone de projet, décrire :
3. Relativement aux espèces fauniques relevées ci-dessus, décrire et quantifier les types d’habitats fauniques en précisant :
4. Décrire les terres de zone d’étude qui sont susceptibles de constituer des aires vulnérables et un habitat pour la faune ou des aires à proximité qui sont importantes sur le plan environnemental, comme les parcs nationaux, les aires ayant un intérêt naturel ou scientifique, les refuges d’oiseaux migratoires ou autres aires ou refuges d’oiseaux importants, les réserves nationales de la faune ou les réserves mondiales de la biosphère. 5. Préciser les zones de gestion de la faune, les refuges établis ou proposés, ou d’autres types d’aires à l’intérieur ou à proximité de la zone d’étude. 6. Décrire les niveaux de perturbation qui touchent actuellement la faune et son habitat, comme la fragmentation de l’habitat et l’étendue de l’accès et de l’utilisation par l’homme. 7 Dans les endroits où des effets résiduels ont été prévus, indiquer s’ils sont susceptibles de se combiner à ceux d’autres installations matérielles ou activités concrètes et étayer les renseignements ci-dessus, si nécessaire. 8. En outre, en ce qui a trait aux effets cumulatifs :
|
L’inventaire et la description des espèces sauvages présentes dans la zone du projet doivent comprendre, sans s’y limiter, les espèces résidentes, provisoires (migratrices) et les espèces ou populations uniques ainsi que les espèces parapluie et les espèces clé de voûte. Il peut être pertinent d’inclure les mammifères, les oiseaux, les amphibiens, les reptiles et les invertébrés. L’inventaire et la description de la faune d’importance pour les humains doivent également tenir compte de valeurs de consommation (chasse, récolte) et de valeurs non liées à la consommation (observation d’oiseaux), ainsi que des espèces d’importance pour les communautés autochtones susceptibles d’être touchés. L’inventaire, la description et la quantification des types d’habitats doivent tenir compte de ce qui suit, sans s’y limiter :
Autres zones et habitats vulnérables :
En ce qui concerne la faune et son habitat, l’analyse des effets doit tenir compte d’éléments tels que :
S’assurer que les limites spatiales employées pour la zone d’étude et l’évaluation sont propres à la composante valorisée et défendables sur le plan écologique (p. ex., vastes espaces hivernaux, voies migratoires, aires de mise bas). Dans le calcul de l’empreinte de perturbation ou de la densité de la perturbation linéaire, il ne faut pas oublier d’inclure l’aire totale d’évitement par la composante valorisée, qui peut être beaucoup plus vaste que l’empreinte physique elle-même selon la composante valorisée analysée. Les aspects temporels sont aussi pertinents. Par exemple, les effets sur les espèces sauvages du bruit et des perturbations sensorielles, de l’utilisation ou de la divergence de l’eau, ou des émissions des flux de déchets dans l’atmosphère, sur les terres ou dans l’eau peuvent être amplifiés si plusieurs projets sont réalisés en même temps (ou sans interruption pendant plus d’une saison) dans un bassin hydrologique, une aire de mise bas ou un corridor de migration. L’accès accru aux zones du projet, qu’il soit temporaire ou permanent, se répercute sur l’habitat, les populations, la distribution et les interactions des espèces sauvages. Cet accès peut ne pas se limiter aux humains et comprendre une présence accrue des prédateurs et des espèces concurrentes. Parmi les exemples d’outils qui peuvent être utilisés pour évaluer les effets cumulatifs sur les composantes valorisées, on note les modèles fondés sur des scénarios, l’analyse spatiale à l’aide d’un système d’information géographique et les indicateurs de changement au niveau du milieu (p. ex., densité linéaire) (voir le Guide du praticien sur l’évaluation des effets cumulatifs de 1999 de l’Agence canadienne d’évaluation environnementale). Il est recommandé au demandeur de prendre connaissance des exigences des règlements provinciaux, territoriaux et fédéraux applicables (p. ex., du Règlement sur les oiseaux migrateurs). Autres sources d’orientation
Il est possible de consulter la base de données des zones importantes pour la conservation des oiseaux par l’intermédiaire d’Études d’Oiseaux Canada ou de Nature Canada. |
Espèces en péril ou espèces à statut particulier |
|
Exigences de dépôt |
Orientation |
1. Pour les effets sur les espèces fauniques, les poissons et les plantes en péril ou sur les espèces désignées comme ayant un statut particulier :
2. Lorsque le projet risque d’entraîner la destruction d’une partie de l’habitat essentiel d’une espèce faunique mentionnée à l’annexe 1 de la Loi sur les espèces en péril, décrire :
3. Dans les endroits où des effets résiduels ont été prévus, indiquer s’ils sont susceptibles de se combiner à ceux d’autres ouvrages ou activités et étayer les renseignements ci-dessus, si nécessaire. |
De nombreuses espèces rares (p. ex., des espèces menacées ou en voie de disparition selon la Loi sur les espèces en péril) sont en péril en grande partie en raison des effets cumulatifs antérieurs sur les populations et leur habitat. Elles figurent sur les listes officielles parce que leur nombre est passé sous un certain seuil et que des mesures spéciales doivent être prises pour leur protection et leur rétablissement. Tout autre effet résiduel a le potentiel d’aggraver la situation. En conséquence, les projets envisagés doivent préférablement éviter toute contribution résiduelle supplémentaire aux effets cumulatifs, ou cette contribution doit être entièrement atténuée ou compensée. Par statut, on entend la désignation conférée par les lois ou directives fédérales, provinciales ou territoriales (p. ex., espèces disparues du pays, en voie de disparition, menacées, préoccupantes). Consulter le registre établi en application de la Loi sur les espèces en péril, y compris l’annexe 1, la liste officielle des espèces en péril, ainsi que les annexes 2 et 3 de la Loi sur les espèces en péril. Consulter ECCC (Service canadien de la faune), Pêches et Océans Canada ou Parcs Canada au sujet des espèces en péril et des habitats essentiels susceptibles de se trouver dans la zone d’étude. En l’absence d’une définition de l’habitat essentiel, il peut être nécessaire de faire des études sur le terrain et de déterminer, en collaboration avec les autorités fédérales, provinciales ou territoriales, les mesures d’atténuation qui permettent d’éviter les périodes de vulnérabilité. Les études sur le terrain peuvent être utiles pour déterminer la nécessité de prendre des mesures d’atténuation ou pour recenser les populations locales communes qui ne sont pas sensiblement touchées. Pour les espèces en péril répertoriées à l’annexe 1 de la Loi sur les espèces en péril, les mesures d’atténuation proposées doivent être compatibles avec les programmes de rétablissement et les plans d’action applicables énoncés dans le Registre public des espèces en péril. Consulter les autorités provinciales ou territoriales au sujet des espèces inscrites relevant de leur compétence. En ce qui concerne les espèces en péril pour lesquelles il n’existe aucun programme de rétablissement ni plan d’action, le demandeur devrait utiliser les meilleurs renseignements disponibles, comme les rapports d’état du Comité sur la situation des espèces en péril au Canada, les versions provisoires de programmes de rétablissement ou de plans d’action, les plans existants ou les commentaires de l’équipe de rétablissement ainsi que les conseils (ou plans de gestion) de toute administration chargée de la gestion de l’espèce. Décrire en quoi les mesures permettant d’éviter, d’atténuer entièrement ou de compenser les effets du projet sont conformes à la meilleure information disponible. En cas de recours à un plan de compensation, donner le détail des consultations effectuées auprès d’experts des domaines pertinents, des options possibles et des critères utilisés pour sélectionner les options et évaluer la pertinence (suffisance et validité) de toute mesure de compensation. Le demandeur est invité à dresser la liste complète de toutes les zones susceptibles d’être touchées par le projet qui pourraient abriter des espèces en péril ou des espèces à statut particulier. Consulter les bases de données fédérales, provinciales, territoriales, régionales et locales (p. ex., les centres de données de conservation) et toute autre source d’information se rapportant aux espèces à statut particulier. Il ne faut généralement pas se fier à l’information des bases de données pour conclure à l’absence d’espèces à statut particulier, parce que la collecte et la mise à jour des données ne sont pas nécessairement systématiques. Une orientation supplémentaire, y compris à l’égard des renseignements des gouvernements fédéral, provinciaux et territoriaux, ainsi que d’autres renseignements connexes, sont disponibles auprès du Comité sur la situation des espèces en péril au Canada et d’ECCC. |
Qualité de l’air |
|
Exigences de dépôt |
Orientation |
1. En ce qui concerne les effets, ou les préoccupations du public, concernant la poussière ou les émissions produites par les activités de construction, il faut :
|
Se reporter au tableau 6-3 si le projet est susceptible d’avoir des effets sur la santé humaine ou l’esthétique visuelle. |
Émissions de gaz à effet de serre et changements climatiques |
|
Exigences de dépôt |
Orientation |
1. Émissions directes – Pour la construction et l’exploitation d’un projet (y compris l’entretien), il faut :
2. Plan crédible visant l’atteinte d’émissions nettes nulles – Dans le cas des projets dont la durée de vie utile s’étend au-delà de 2050, les demandes doivent inclure un plan crédible visant l’atteinte d’émissions nettes nulles d’ici 2050 (ci-après le « plan d’émissions nettes nulles »). 3. Résilience aux changements climatiques – Fournir une évaluation de la résilience du projet aux effets des changements climatiques. 4. Incidence du projet sur les efforts du Canada pour réduire les émissions de GES – Décrire en quoi le projet pourrait contribuer ou nuire aux efforts du Canada pour réduire les émissions de GES. |
Les lignes directrices sur les émissions de GES et les changements climatiques tiennent compte des principes et des objectifs de l’Évaluation stratégique des changements climatiques (« ESCC ») d’Environnement et Changement climatique Canada (« ECCC »). Comme indiqué à la section 6-4, le niveau de détail et l’analyse devraient tenir compte de la nature du projet et de l’ampleur des effets. Les approches modulables présentées aux figures 6-2 à 6-5 devraient permettre de déterminer le niveau d’informations qu’un demandeur doit déposer. Consulter la section 6.9 pour obtenir plus de renseignements sur la façon de déterminer si les effets d’un projet pourraient nuire ou contribuer à la capacité du gouvernement du Canada de respecter ses engagements en matière de changements climatiques. Quantification des émissions de GES directes et acquises S’il y a lieu, l’évaluation des émissions de GES devrait :
De plus, s’il y a lieu, les estimations quantitatives doivent :
Le demandeur peut envisager d’utiliser une estimation appropriée de l’ensemble de l’industrie pour son évaluation des émissions de GES, pourvu qu’elle soit à jour. Si les activités d’exploitation du projet nécessitent l’achat d’électricité ou d’énergie (p. ex., pour alimenter les stations) d’un tiers ou d’une entité, l’évaluation des émissions de GES découlant du projet doit en tenir compte. Pour une orientation sur les émissions évitées et les mesures de compensation, consultez la Version préliminaire du guide technique relatif à l’évaluation stratégique des changements climatiques : Orientation concernant la quantification des émissions nettes de GES, l’impact sur les puits de carbone, les mesures d’atténuation, le plan pour atteindre des émissions nettes nulles et l’évaluation des GES en amont présente davantage de renseignements sur l’évaluation des GES en amont. Mesures d’atténuation (y compris les mesures de compensation) et plan d’émissions nettes nulles L’analyse des mesures d’atténuation, y compris l’utilisation des meilleures technologies disponibles et des meilleures pratiques environnementales, devrait mentionner les moyens envisagés pour réduire les émissions de GES et préciser pourquoi la méthode privilégiée a été choisie, comme la faisabilité technique et économique. Les mesures de compensation (notamment le captage et le stockage de dioxyde de carbone, les initiatives au niveau de la société et le recours à des crédits) devraient généralement être considérées comme un dernier recours lorsque tous les efforts raisonnables ont été faits pour éviter et atténuer les émissions de GES. La pertinence et le potentiel des mesures de compensation pour les émissions résiduelles, notamment le moment et l’opportunité d’appliquer celles retenues, devraient être expliqués. D’autres mesures d’atténuation peuvent aussi être incluses dans le plan d’émissions nettes nulles. Sauf indication contraire, tous les projets seront présumés avoir une durée de vie s’étendant au-delà de 2050. Un plan d’émissions nettes nulles devrait être fondé sur les principes énoncés dans l’ESCC et les guides techniques connexes. Le plan devrait renfermer les éléments suivants :
Conformément aux exigences énoncées au chapitre 5 du présent guide portant sur les activités de mobilisation, les demandeurs devraient consulter les peuples autochtones susceptibles d’être touchés au sujet des mesures d’atténuation des GES et des plans d’émissions nettes nulles. Résilience climatique L’évaluation des émissions de GES devrait comprendre une évaluation de la résilience du projet aux effets des changements climatiques. Cette évaluation devrait, s’il y a lieu, faire état de ce qui suit :
Voir le tableau 6-2 Environnement physique et météorologique pour d’autres exigences et notes d’orientation. Incidence du projet sur les efforts du Canada pour réduire les émissions de GES L’analyse des lois, règlements et politiques devrait englober les divers ordres de gouvernement et administrations pertinents (régional, provincial, fédéral et international). Par exemple, elle pourrait faire état de cibles, de taxes sur le carbone, de réductions ou de compensations obligatoires et de programmes de déclaration. Dans l’évaluation de l’ampleur des émissions, il faut tenir compte des totaux pertinents des émissions nationales selon le secteur ainsi que des émissions provinciales aux fins de comparaison. Des études de bassin atmosphérique régional peuvent être applicables. Il faut décrire les effets des émissions prévues de GES découlant du projet sur les cibles de réduction des GES du Canada. Documents de référence L’évaluation des émissions de GES devrait tenir compte des directives pertinentes relativement à l’estimation et à la déclaration, ainsi que des directives techniques applicables, par exemple, les suivantes :
|
Émissions de gaz à effet de serre et changements climatiques – Évaluation des émissions de GES en amont l’exploitation ou l’entretien par rapport aux niveaux existants, il faut : |
|
Exigences de dépôt |
Orientation |
1. Émissions de GES en amont
|
Conformément aux lignes directrices de l’ESCC, l’évaluation des émissions de GES en amont devrait décrire la méthode, les données et les hypothèses utilisées, et expliquer comment l’évaluation concorde avec les prévisions concernant l’offre et l’analyse du besoin du projet. Le plan d’émissions nettes nulles ne s’applique pas aux émissions de GES en amont, même si une évaluation de ces émissions est faite. D’autres directives et pratiques servant à estimer les émissions de GES en amont se trouvent dans l’Évaluation stratégique des changements climatiques d’ECCC et les guides techniques connexes (au fur et à mesure des publications et mises à jour). |
Environnement acoustique |
|
Exigences de dépôt |
Orientation |
1. Si le public a exprimé des préoccupations concernant une hausse des niveaux de bruit durant la construction, fournir une évaluation de l’impact du bruit accompagnée d’un résumé des préoccupations. 2. Dans le cas de projets qui entraînent une augmentation du bruit pendantl’exploitation ou l’entretien par rapport aux niveaux existants, il faut :
3. Dans les endroits où des effets résiduels ont été prévus, indiquer s’ils sont susceptibles de se combiner à ceux d’autres installations matérielles ou activités concrètes et étayer les renseignements ci-dessus, si nécessaire. |
L’évaluation des effets doit tenir compte de ce qui suit :
Les plans de gestion du bruit doivent prévoir :
S’il existe des effets potentiels sur la santé, voir le tableau 6-3. Autres sources d’orientation :
|
Électromagnétisme et effluve électrique |
|
Exigences de dépôt |
Orientation |
1. Dans le cas des tensions qui excèdent 240 kV, décrire :
2. Indiquer la possibilité d’interférences sur les ondes radiophoniques et télévisuelles par beau temps et par mauvais temps sous une charge maximale. Décrire la zone pouvant être touchée, la fréquence et la durée des perturbations ainsi que les normes applicables. 3. Décrire les effets d’induction possibles sur les exploitants d’autres éléments d’infrastructure. S’il y a des effets sur les installations actuellement en exploitation, décrire les autorisations requises et les activités de mobilisation qui doivent être menées auprès des exploitants des infrastructures en question, ainsi que les moyens envisagés pour donner suite à toute préoccupation soulevée. |
S’il existe des effets potentiels sur la santé, voir le tableau 6-3. Décrire le bruit associé à un effluve électrique provenant des lignes de transport d’électricité par mauvais temps, en particulier ce qui suit :
En ce qui concerne le champ électromagnétique, décrire quantitativement :
|
Obligations en matière d’environnement |
|
Exigences de dépôt |
Orientation |
1. Dresser une liste des obligations du gouvernement du Canada en matière d’environnement qui peuvent s’appliquer au projet. 2. Fournir un résumé ou une table de concordance énumérant toutes les obligations du gouvernement du Canada en matière d’environnement répertoriées et prises en compte. 3. Lorsqu’il est question d’obligations en matière d’environnement dans la demande, une évaluation appropriée des effets potentiels et des mesures d’atténuation applicables doit être faite. L’évaluation devrait comprendre une analyse de la mesure dans laquelle le projet porte atteinte ou contribue à la capacité du gouvernement du Canada de respecter ses obligations en matière d’environnement. |
Comme il est indiqué à la section A.2.4 Niveau de détail de l’évaluation, la profondeur de l’analyse devrait tenir compte de la nature du projet et des effets potentiels. Comme cela est signalé dans l’orientation de l’actuel Guide de dépôt sur les activités de mobilisation (section 3.4.2) et dans le Guide de mobilisation précoce de la Régie, le demandeur devrait aussi consulter les organismes gouvernementaux fédéraux concernés, qui pourront l’aider à répertorier les obligations du Canada en matière d’environnement qui s’appliquent au projet.
Complément d’information – De façon générale, on fera référence à la politique fédérale concernant la conservation des milieux humides de manière à étayer l’évaluation environnementale du demandeur sur la question des milieux humides. En plus de la politique qui est prise en compte dans l’évaluation de l’impact d’un projet sur les milieux humides, il faudrait aussi en faire état dans la liste des obligations du gouvernement du Canada en matière d’environnement, avec renvois à l’évaluation. |
Figure 6-2 : Approche modulable de l’évaluation du facteur lié aux changements climatiques

Description
Diagramme illustrant les options pour les évaluations des changements climatiques déposées aux termes de l’article 262 de la LRCE, selon le texte du tableau 6-2
Figure 6-3 : Approche modulable – émissions de GES liées à la construction

Description
Diagramme illustrant les exigences de dépôt et les lignes directrices relatives aux émissions de GES liées à la construction, selon le texte du tableau 6-2
Figure 6-4 : Approche modulable – émissions de GES liées à l’exploitation

Description
Diagramme illustrant les exigences de dépôt et les lignes directrices pour les émissions de GES liées à l’exploitation, selon le texte du tableau 6-2
Figure 6-5 : Approche modulable – émissions de GES en amont

Description
Diagramme illustrant les exigences de dépôt et les lignes directrices relatives aux émissions de GES en amont, selon le texte du tableau 6-2
6.9 Lignes directrices supplémentaires sur les émissions de gaz à effet de serre et les changements climatiques
Les émissions de GES et les changements climatiques sont au nombre des nombreux éléments dont la Commission tient compte pour rendre certaines décisions ou formuler des recommandations dans l’intérêt public à l’égard de projets. Les renseignements fournis dans une demande et les documents connexes qui traitent des émissions de GES et des changements climatiques permettront à la Commission de déterminer dans quelle mesure les effets d’un projet peuvent nuire aux engagements du Canada en la matière ou y contribuer.
Les sections qui suivent fournissent davantage de contexte aux demandeurs sur les émissions de GES et les évaluations des changements climatiques liées aux projets réglementés par la Régie. Ces lignes directrices devraient être prises en compte en parallèle avec les autres exigences de dépôt et ce que stipule déjà le chapitre 6 du présent guide.
Éléments à prendre en compte pour évaluer les effets d’un projet sur les engagements du gouvernement du Canada en matière de changements climatiques
Les principaux éléments que la Commission peut prendre en compte pour déterminer si un projet pourrait nuire aux engagements du Canada en matière de changements climatiques ou contribuer à leur atteinte sont les suivants :
- ampleur des émissions de GES;
- mesures d’atténuation pour contrer les émissions de GES;
- applicabilité des lois, règlements et politiques pertinents;
- plan d’émissions nettes nulles;
- incidence du projet sur les efforts du Canada pour réduire les émissions de GES;
- résilience aux changements climatiques;
- émissions en amont.
Les sections qui suivent traitent plus en détail de chacun des éléments énumérés ci-dessus. Des questions d’orientation sont également fournies pour chacun.
1. Ampleur des émissions de GES
Pour évaluer l’ampleur des émissions, la Commission tient compte des sources directes de GES auxquelles on pourrait s’attendre tout au long du cycle de vie d’un projet. Les sources potentielles d’émissions de GES pour un projet ou une activité proposée varieront selon le type d’installation et les activités prévues.
Les émissions de GES associées à la construction d’un projet proviennent généralement de sources comme l’utilisation de l’équipement de construction, le changement d’utilisation des terrains (p. ex., le défrichage) et la combustion de biomasse. Ces sources illustrent certains exemples et pourraient inclure d’autres sources. Les émissions liées à l’équipement de construction dépendent de variables comme la complexité du terrain et la saison.
Les émissions de GES associées à l’exploitation des lignes de transport d’électricité varient selon le projet, mais sont généralement très faibles puisqu’elles découlent du fonctionnement des véhicules ou de l’équipement lors des activités d’entretien et d’inspection.
Comme il est expliqué au tableau 6-2 du présent guide, les demandeurs doivent préciser les méthodes et les hypothèses utilisées pour quantifier les émissions de GES liées au projet. Ils devraient utiliser des équations éprouvées et des facteurs d’émissions récents. Ils sont également invités à se servir des facteurs d’émission tirés du plus récent rapport d’inventaire national annuel d’ECCC pour calculer les émissions estimatives des véhicules et de l’équipement.
Les demandeurs devraient comparer l’intensité prévue des émissions de GES du projet à celle de projets de nature, de portée et d’envergure semblables. Ils devraient également comparer l’ampleur des émissions de GES prévues du projet aux émissions de GES nationales selon le secteur, aux émissions de GES provinciales ainsi qu’aux cibles de réduction des GES du Canada (voir ci-dessous).
Ampleur des émissions de GES – Questions d’orientation pouvant guider l’évaluation de la Commission
- Aux différentes étapes du projet, celui-ci est-il susceptible de produire des volumes élevés, moyens ou faibles d’émissions de GES comparativement à des projets de nature, de portée et d’envergure semblables?
- Dans quelle mesure l’intensité des émissions de GES de l’installation proposée est-elle comparable à celle de projets de nature, de portée et d’envergure semblables?
- Les méthodes, les sources de données, la justification de la méthode choisie et les hypothèses utilisées pour estimer les émissions du projet sont-elles appropriées?
- Dans quelle mesure les émissions prévues du projet sont-elles comparables aux émissions de GES nationales selon le secteur, au total des émissions de GES provinciales et aux cibles de réduction des GES du Canada?
2. Mesures d’atténuation pour contrer les émissions de GES
Les demandeurs devraient entreprendre une évaluation exhaustive des diverses mesures d’atténuation, tout comme des meilleures technologies et pratiques environnementales disponibles, pour réduire au minimum les émissions de GES à chaque étape du cycle de vie, du défrichage à la cessation d’exploitation. L’examen des mesures d’atténuation potentielles dès le début de la phase de conception et de planification donne l’occasion de cerner les possibilités de réduction de GES afin de pouvoir en profiter. Par exemple, dans une demande, un demandeur peut proposer de situer le projet en un lieu où l’enlèvement de la biomasse est moindre.
Les efforts d’atténuation des émissions de GES continuent d’évoluer et de s’améliorer. Ainsi, les demandeurs sont invités à inclure un exposé sur les solutions ou mesures de rechange envisagées et la justification du choix ou de l’élimination de certaines mesures.
Lorsque les émissions de GES ne peuvent être évitées ou réduites, on peut envisager la prise de mesures d’atténuation supplémentaires au-delà des plus courantes (c.-à-d. diverses mesures de compensation).
La section 5.1.4 de l’ESCC précise les renseignements requis pour les mesures d’atténuation. La section 3 de la Version préliminaire du guide technique relatif à l’évaluation stratégique des changements climatiques : Orientation concernant la quantification des émissions nettes de GES, l’impact sur les puits de carbone, les mesures d’atténuation, le plan pour atteindre des émissions nettes nulles et l’évaluation des GES en amont fournit des précisions sur les principes et la façon dont les demandeurs peuvent suivre le processus de détermination des meilleures technologies disponibles et des meilleures pratiques environnementales pour atténuer les émissions de GES du projet.
Mesures d’atténuation – Questions d’orientation pouvant guider l’évaluation de la Commission
- De quelle façon a-t-on tenu compte des émissions de GES dans la conception du projet?
- Quelles mesures d’atténuation sont proposées pour éviter, réduire ou capter les émissions de GES du projet et en quoi sont-elles comparables aux pratiques exemplaires actuelles?
- A-t-on proposé des approches novatrices pour gérer les émissions pendant la durée de vie du projet?
- Y a-t-il des mesures supplémentaires (p. ex., de compensation) qui sont mises en œuvre pour le projet?
3. Applicabilité des lois, règlements et politiques pertinents en matière de changements climatiques
Le Guide de dépôt – Électricité précise que les demandeurs doivent fournir une liste des lois, règlements et politiques fédéraux, provinciaux ou territoriaux sur les GES qui s’appliqueront au projet et expliquer toute incidence sur celui-ci.
Compte tenu de l’évolution rapide des politiques sur les changements climatiques au Canada et à l’étranger, les demandeurs sont invités à planifier les incidences possibles de nouveaux changements aux lois, règlements et politiques sur la faisabilité économique d’un projet. Les risques éventuels découlant de modifications à la réglementation qui pourraient nécessiter une gestion adaptative de la part du demandeur pourraient notamment porter sur l’offre disponible, la demande commerciale, l’utilisation, les coûts et le financement d’un projet.
Modifications aux lois, règlements et politiques pertinents en matière de changements climatiques – Questions d’orientation pouvant guider l’évaluation de la Commission
- De quelle manière les exigences provinciales ou fédérales applicables à la tarification du carbone (y compris les rapports) sont-elles gérées pour le projet?
- Comment les risques potentiels associés aux futures modifications des lois, règlements ou politiques sur les changements climatiques ont-ils été quantifiés et planifiés? Y a-t-il des plans de gestion adaptative en place pour de tels risques?
4. Plan d’émissions nettes nulles
À moins d’indication contraire dans une demande, la Commission suppose que tous les nouveaux projets auraient une durée de vie qui s’étendrait au-delà de 2050. Dans un tel cas, le demandeur devra fournir un plan d’émissions nettes nulles pour tout projet qui se prolonge au-delà de 2050. Tant l’ESCC que le Guide de dépôt précisent que les demandeurs peuvent soumettre un plan d’émissions nettes nulles individuel ou un plan global à l’échelle de l’organisation, selon la nature, la portée et l’envergure du projet.
Le niveau de détail que la Commission attend d’un plan d’émissions nettes nulles dépendra de la nature du projet. Pour les projets dont les principales sources d’émissions de GES sont tributaires du réseau dont ils font partie (p. ex., inspections d’entretien ou patrouilles aériennes) ou qui sont gérés à l’échelle de l’organisation, l’application d’un plan global pour atteindre zéro émission nette d’ici 2050 pourrait être plus appropriée.
La section 5.3 de l’ESCC et la section 3.5 de la Version préliminaire du guide technique relatif à l’évaluation stratégique des changements climatiques : Orientation concernant la quantification des émissions nettes de GES, l’impact sur les puits de carbone, les mesures d’atténuation, le plan pour atteindre des émissions nettes nulles et l’évaluation des GES en amont d’ECCC fournissent des précisions sur les principes, ainsi que sur l’élaboration et le contenu d’un plan d’émissions nettes nulles. Le plan sera étayé par les mesures d’atténuation des GES prévues par le demandeur et sera complémentaire de celles-ci.
Plan visant l’atteinte d’émissions nettes nulles : Questions d’orientation pouvant guider l’évaluation de la Commission
- Quelles mesures précises seront prises pour atteindre zéro émission nette d’ici 2050?
- Quels sont les coûts associés à la mise en œuvre de chaque mesure, les effets éventuels sur les droits exigibles, les difficultés techniques, les risques, les besoins en infrastructure et les autres considérations pertinentes?
- Le demandeur s’est-il engagé à atteindre certains jalons au fil du temps pour le projet qui démontrent les progrès réalisés en matière de réduction des GES vers un bilan zéro?
- Quelle est l’incidence du plan d’émissions nettes nulles sur la faisabilité économique du projet?
5. Incidence du projet sur les efforts du Canada pour réduire les émissions de GES
Ces dernières années, la politique canadienne sur le climat a considérablement évolué pour façonner l’avenir de l’offre, de la demande, du commerce et de l’infrastructure énergétiques au pays. Parmi les engagements pris, mentionnons l’Accord de Paris, l’objectif du Canada pour 2030 et celui de zéro émission nette d’ici 2050Note de bas de page 4, ainsi que d’autres obligations. Compte tenu de l’ampleur des changements requis pour que le Canada et le monde atteignent zéro émission nette d’ici 2050, les politiques, marchés et technologies continueront d’évoluer au cours des trois prochaines décennies. Le Cadre pancanadien sur la croissance propre et les changements climatiques de 2016, la Loi canadienne sur la responsabilité en matière de carboneutralité (y compris le Plan de réduction des émissions pour 2030)Note de bas de page 5, Un environnement sain et une économie saine et la Stratégie nationale d’adaptation du Canada en sont des exemples.
La Commission reconnaît qu’en remplaçant des projets à plus haute intensité d’émissions ou en facilitant l’élimination des GES, on contribue aux engagements du Canada en matière de changements climatiques.
Incidence du projet sur les efforts du Canada pour réduire les émissions de GES Question d’orientation pouvant guider l’évaluation de la Commission
- Le projet contribue-t-il à la capacité du gouvernement du Canada de respecter ses engagements à l’égard des changements climatiques en réduisant ou en éliminant les émissions de GES, sinon en facilitant leur élimination?
6. Résilience aux changements climatiques
Les demandeurs doivent réaliser une évaluation de la résilience du projet aux effets des changements climatiques. La portée et l’envergure d’une évaluation des risques liés au climat d’un projet et l’élaboration d’un plan de traitement des risques devraient être adaptées au projet, en fonction des vulnérabilités potentielles et de la complexité des interactions.
La Version préliminaire du guide technique relatif à l’évaluation stratégique des changements climatiques : évaluer la résilience aux changements climatiques, présente une approche permettant d’évaluer la résilience d’un projet aux effets actuels et futurs des changements climatiques et les risques qui en découlent.
Résilience aux changements climatiques – Questions d’orientation pouvant guider l’évaluation de la Commission
- En quoi le projet est-il à risque de subir les effets des changements climatiques?
- Le demandeur a-t-il tenu compte de l’ampleur et de la probabilité de ces risques liés au climat et a-t-il recensé des traitements appropriés et des mesures de gestion adaptative (au besoin) lors de la conception du projet?
7. Émissions en amont
Le Guide de dépôt – Électricité précise quand les demandeurs sont tenus de fournir une estimation des émissions en amont – comme celles produites par une centrale électrique – et dans quelle mesure celles-ci augmenteraient en raison du projet. L’ESCC fournit des lignes directrices sur les seuils pour l’examen des émissions en amont, lesquels sont appliqués à l’égard des projets réglementés par la Régie. L’examen des émissions en amont comprend habituellement des estimations quantitatives ainsi qu’une analyse qualitative de leur effet d’accroissement. Cette dernière précise le contexte dans lequel le projet sera exploité et indique si les émissions en amont estimatives seront présentes avec ou sans le projet.
Les évaluations des émissions en amont peuvent aussi constituer un élément clé dans l’examen des effets cumulatifs globaux de tout projet envisagé. La Commission s’attend à ce que la portée de l’évaluation des émissions en amont soit conforme aux hypothèses de mise en valeur à l’appui d’un projet donné (voir la section 6-7). Elle s’attend aussi que l’évaluation soit conforme aux hypothèses économiques, financières et techniques à long terme avancées dans une demande.
Les sections 3.2 et 3.3 de l’ESCC précisent les renseignements requis pour une évaluation des émissions de GES en amont et du degré d’incertitude. La section 5 de la Version préliminaire du guide technique relatif à l’évaluation stratégique des changements climatiques : Orientation concernant la quantification des émissions nettes de GES, l’impact sur les puits de carbone, les mesures d’atténuation, le plan pour atteindre des émissions nettes nulles et l’évaluation des GES en amont présente davantage de renseignements sur l’évaluation des GES en amont.
Émissions en amont – Questions d’orientation pouvant guider l’évaluation de la Commission
- Les émissions en amont liées au projet sont-elles supérieures aux seuils énoncés dans l’ESCC? Le cas échéant, le demandeur a-t-il entrepris une évaluation quantitative des émissions de GES en amont associées au projet?
- Le demandeur a-t-il suivi la méthode décrite dans la version préliminaire des guides techniques d’ECCC?
- Le projet entraînera-t-il une augmentation des émissions de GES en amont? Le demandeur a-t-il traité comme il se doit de l’incidence des émissions cumulatives et supplémentaires sur les engagements du Canada en matière de changements climatiques?
- Comment les risques potentiels associés aux futures modifications des lois, règlements ou politiques sur les changements climatiques qui s’appliquent aux émissions en amont ont-ils été quantifiés et planifiés?
Prise de décisions et conditions
Les renseignements contenus dans la demande et tout renseignement supplémentaire fourni dans le cadre du processus décisionnel aideront la Commission à évaluer les émissions de GES et le facteur lié aux changements climatiques. La Commission peut imposer des conditions relatives à ce facteur. Celles-ci varieraient en fonction de la portée, de l’envergure et de la nature des projets à l’étude. Les conditions peuvent faire référence à des mesures d’atténuation supplémentaires et à d’autres exigences visant à éviter ou à réduire les émissions de GES d’un projet. Elles peuvent aussi inclure une exigence de déclaration selon laquelle le demandeur devrait démontrer les progrès réalisés en vue de la mise en œuvre de ces mesures d’atténuation ainsi que du plan pour atteindre zéro émission nette d’ici 2050 (pour les projets dont la durée de vie va au-delà de cette année-là).
Tableau 6-3 : Information exigée à l’égard des éléments socioéconomiques
ACS+ d’application générale
Tant par ses effets négatifs que positifs, un projet peut avoir des répercussions sur les personnes de différentes façons, selon divers facteurs identitaires en présence comme le sexe, le genre, l’âge, la culture, le caractère autochtone et les capacités. L’ACS+ peut aider à tenir compte de certains de ces facteurs. Dans le contexte de l’évaluation des effets d’un projet envisagé, au nombre des questions à poser, notons les suivantes :
- Quels sont les facteurs identitaires pertinents qui pourraient déterminer la portée des effets positifs ou négatifs du projet?
- En quoi les effets négatifs et positifs d’un projet pourraient-ils varier selon les différents facteurs identitaires pertinents en présence?
- Des mesures d’atténuation précises peuvent-elles être mises de l’avant afin de tenir compte des différences prévues quant aux répercussions des effets négatifs et à la distribution des avantages attendus?
- De telles mesures sont-elles pratiques compte tenu du projet, et leur efficacité peut-elle être mesurée au fil du temps?
Il faudrait tenir compte de l’ACS+ au moment d’évaluer chacun des éléments socioéconomiques énumérés dans les tableaux qui suivent. De plus, lorsqu’un projet peut avoir des effets particuliers ou négatifs sur les femmes autochtones au sein de collectivités autochtones susceptibles d’être touchées, ces effets potentiels et les mesures proposées pour les atténuer devraient être analysés. Il faut savoir que différents facteurs identitaires peuvent être pertinents selon l’élément. Par exemple, les incidences sur un groupe de personnes précis peuvent varier selon que les répercussions du projet se font sentir sur la santé humaine ou sur les emplois dérivés de ce même projet. Quand des questions se rapportant à la vie privée de personnes sont soulevées, ou lorsque les renseignements sont considérés comme confidentiels ou non disponibles, il faut expliquer la démarche adoptée.
Il est question plus en détail de l’ACS+ sur le site Web de Femmes et Égalité des genres Canada du gouvernement fédéral. L’Agence d’évaluation d’impact du Canada a élaboré un document d’orientation sur l’application de l’ACS+ aux évaluations d’impact qui devrait être consultéNote de bas de page 6.
Occupation humaine et utilisation des ressources |
|
|---|---|
Exigences de dépôt |
Orientation |
1. Décrire les tendances générales de l’occupation humaine et de l’utilisation des ressources dans la zone d’étude. 2. Exposer les interactions possibles à l’échelle locale et régionale avec l’occupation humaine et les activités de mise en valeur des ressources. Préciser les effets que le projet pourrait avoir sur la viabilité de ces activités et sur les moyens de subsistance des travailleurs, propriétaires d’entreprises et exploitants locaux. 3. Exposer les buts des plans d’utilisation des terrains ou des plans d’aménagement municipaux ou régionaux pertinents et indiquer en quoi le projet respecte ces plans. 4. Indiquer les répercussions possibles du projet sur la qualité et la quantité des eaux souterraines et de surface utilisées à des fins domestiques, commerciales, agricoles ou récréatives. 5. Relever l’incidence visuelle ou esthétique potentielle du projet quant à l’utilisation actuelle des terrains dans la zone d’étude. 6. Préciser les effets prévus du projet sur la santé et la productivité du bétail. 7. Décrire toute mesure d’atténuation particulière à l’emplacement ou propre au projet que le demandeur a prise pour pallier les effets recensés. 8. Dans les endroits où des effets résiduels ont été prévus, indiquer s’ils sont susceptibles de se combiner à ceux d’autres installations matérielles ou activités concrètes et étayer les renseignements ci-dessus, si nécessaire. |
L’évaluation de l’incidence potentielle sur l’occupation humaine et l’utilisation des ressources doit tenir compte :
Il convient d’évaluer si le projet est compatible avec les plans d’utilisation des terrains et les plans d’aménagement locaux et régionaux. Dans le cas de zones « à usages multiples », il importe également d’évaluer la compatibilité avec les utilisations actuelles. S’il existe un effet prévu sur l’utilisation du territoire traditionnel, sur un traité ratifié ou potentiel ou sur des droits établis, se reporter à l’élément « Usage des terres et des ressources à des fins traditionnelles » du présent tableau. En cas d’effet prévu sur un élément biophysique (p. ex., la quantité d’eau et la qualité de l’eau ou l’environnement acoustique) qui pourrait avoir une incidence sur l’occupation humaine et l’utilisation des ressources, consulter la section se rapportant à cet élément dans le tableau 6-2. En cas d’effet prévu sur l’aspect visuel ou sur d’autres qualités esthétiques, consulter l’orientation relative à l’élément « Santé humaine » du présent tableau. |
Ressources patrimoniales |
|
Exigences de dépôt |
Orientation |
1. Décrire les ressources patrimoniales connues dans la zone d’étude. 2. Déterminer s’il pourrait y avoir des ressources patrimoniales non découvertes dans la zone d’étude. 3. Exposer les plans d’urgence et les mesures d’intervention sur le terrain qui seraient appliqués si des ressources patrimoniales étaient découvertes durant la construction. 4. Fournir des copies de la correspondance des autorités provinciales ou territoriales responsables des ressources patrimoniales renfermant leurs commentaires au sujet de l’évaluation de l’incidence sur les ressources patrimoniales et les mesures d’atténuation proposées. 5. Fournir une déclaration indiquant si la société mettra en œuvre les recommandations des autorités provinciales ou territoriales responsables des ressources patrimoniales. 6. Si une évaluation des ressources patrimoniales a été faite antérieurement dans la zone d’étude du projet, il convient d’en déposer un résumé, accompagné des mesures d’atténuation supplémentaires propres au projet envisagé. |
Le demandeur doit être au courant de toutes les lois et directives fédérales, provinciales ou territoriales relatives à l’inventaire et à la protection des ressources patrimoniales. Le demandeur doit mobiliser les communautés autochtones qui ont des préoccupations quant aux ressources patrimoniales dans la zone du projet. Les sociétés doivent savoir que le fait que des terrains aient été perturbés dans le passé n’élimine pas la possibilité qu’une évaluation archéologique et paléontologique soit requise. Cette évaluation doit être menée par un archéologue ou un paléontologue qualifié et exposer, en détail, la méthode employée sur le terrain pour réaliser l’étude. Dans les cas où il est possible que des ressources patrimoniales soient découvertes durant les activités de construction ou d’exploitation, un plan d’urgence doit être soumis. Ce plan doit au moins indiquer les personnes à contacter et dans quelles conditions les travaux pourront commencer. |
Utilisation des terres à des fins traditionnelles |
|
Exigences de dépôt |
Orientation |
1. Décrire comment les terres et les ressources situées dans la zone d’étude sont actuellement utilisées à des fins traditionnelles par des personnes ou des communautés autochtones. 2. Préciser les personnes ou communautés autochtones qui utilisent actuellement des terres ou des ressources à des fins traditionnelles et indiquer la portée spatiale et temporelle de cet usage et en quoi le projet le toucherait. 3. Décrire toutes les solutions de rechange raisonnables envisagées pour le projet qui n’auraient pas d’incidence sur l’usage des terres et des ressources à des fins traditionnelles par les peuples autochtones et qui ont été prises en considération au cours de l’élaboration du projet. 4. Décrire toutes les mesures faisables qui seraient prises pour atténuer l’incidence de l’activité sur l’usage des terres et des ressources à des fins traditionnelles par les peuples autochtones. 5. Décrire la méthode utilisée pour recueillir les renseignements sur l’usage des terres et des ressources par les peuples autochtones, fournir une liste de toutes les personnes ou de tous les communautés autochtones contactés, et justifier le choix des communautés ou des personnes figurant dans la liste. 6. Démontrer que les personnes et communautés autochtones ayant participé à la collecte de renseignements sur les usages à des fins traditionnelles ont eu l’occasion d’examiner l’information et de proposer des mesures d’atténuation. Le cas échéant, inclure les commentaires des participants autochtones sur les renseignements recueillis et les mesures d’atténuation proposées. 7. Dans les endroits où des effets résiduels ont été prévus, indiquer s’ils sont susceptibles de se combiner à ceux d’autres installations matérielles ou activités concrètes et étayer les renseignements ci-dessus, si nécessaire. |
L’évaluation économique et socioéconomique doit comprendre une évaluation des effets sur les usages actuels des terres et des ressources à des fins traditionnelles par les peuples autochtones. Les peuples autochtones peuvent utiliser les terres pour diverses activités traditionnelles, comme la chasse, la pêche, le piégeage, la cueillette de petits fruits, la collecte de plantes à des fins médicinales, culturelles ou ménagères ou pour les cérémonies culturelles ou spirituelles. Dans l’évaluation des aspects temporels de l’usage des terres et des ressources à des fins traditionnelles, on notera la fréquence de chaque activité, sa durée et la saison dans laquelle elle est pratiquée. Pour évaluer les aspects spatiaux de l’usage des terres et des ressources à des fins traditionnelles, il faut tenir compte du fait que certaines activités peuvent être spécifiques au site (comme dans le cas des zones de cueillette de petits fruits) et d’autres, non (p. ex., la chasse peut se pratiquer dans une zone étendue et les aspects temporels doivent être pris en considérations). Le demandeur doit se reporter à l’évaluation de l’élément biophysique applicable (faune et habitat faunique, végétation, poisson et habitat du poisson) au moment d’examiner l’utilisation des terres et des ressources à des fins traditionnelles. Si l’information sur les usages des terres et des ressources à des fins traditionnelles revêt un caractère confidentiel, le demandeur peut fournir ce qui suit :
Le demandeur peut par ailleurs demander l’autorisation de déposer l’étude à titre confidentiel, aux termes du critère énoncé à l’article 60 de la LRCE. |
Bien-être socioculturel |
|
Exigences de dépôt |
Orientation |
1. Décrire le contexte socioculturel de la zone d’étude, en indiquant :
2. Donner un aperçu des effets socioculturels prévus du projet sur la collectivité locale. 3. Décrire les interactions entre la main-d’œuvre affectée à la construction, à l’exploitation et à l’entretien du projet, d’une part, et les collectivités, entreprises et résidents locaux, d’autre part. 4. Décrire toute mesure d’atténuation visant à contrer les effets relevés. 5. Dans les endroits où des effets résiduels ont été prévus, indiquer s’ils sont susceptibles de se combiner à ceux d’autres installations matérielles ou activités concrètes et étayer les renseignements ci-dessus, si nécessaire. |
Les impacts socioculturels sur les collectivités vivant dans la zone d’étude peuvent découler de diverses causes, dont :
Parmi les effets possibles des facteurs mentionnés ci-dessus, il convient de noter :
La détermination et l’évaluation des effets potentiels doivent :
Par collectivité on peut entendre :
|
Santé humaine |
|
Exigences de dépôt |
Orientation |
1. Décrire et quantifier :
2. S’il est possible que le projet cause des émissions atmosphériques, aquatiques ou sonores ou des rejets d’effluents dont les niveaux sont inférieurs aux seuils fixés dans les lignes directrices locales, provinciales, territoriales ou fédérales (p. ex., les recommandations du CCME, la directive 038 de l’AER (en anglais) ou la règle 012 de l’AUC) (en anglais) et que le public a manifesté des préoccupations relativement aux effets sur la santé humaine, exposer les préoccupations exprimées et les moyens qui seraient utilisés pour les apaiser. 3. Si le projet risque d’entraîner des effets sur la santé humaine, exposer brièvement de quelle manière ces effets seraient atténués. 4. S’il est raisonnable de présumer que le projet pourrait présenter des risques potentiellement élevés ou importants pour la santé humaine, fournir une évaluation de ces risques. 5. Décrire les effets visuels ou esthétiques prévus du projet pour les résidents et autres personnes ou utilisateurs se trouvant dans la zone d’étude qui sont susceptibles d’être touchés. 6. Dans les endroits où des effets résiduels ont été prévus, indiquer s’ils sont susceptibles de se combiner à ceux d’autres installations matérielles ou activités concrètes et étayer les renseignements ci-dessus, si nécessaire. |
Le demandeur doit examiner les effets potentiels sur la santé afin de déterminer le niveau d’évaluation requis. Par exemple, si le projet risque de susciter des préoccupations pour la santé au regard des nuisances, le demandeur doit résumer l’effet et exposer les mesures envisagées pour l’atténuer et détailler suffisamment les procédures analytiques appropriées (p. ex., évaluation des sources de pollution et des rejets, évaluation du degré d’exposition, évaluation de la relation dose-réponse, caractérisation des risques). L’inventaire et l’évaluation des effets potentiels sur la santé doivent se faire en consultation avec les fournisseurs, organismes et établissements de services de santé locaux, régionaux, autochtones, provinciaux ou territoriaux, et fédéraux, selon le cas. Le demandeur doit examiner les effets potentiels du projet sur la santé des groupes vulnérables, tels que :
Le demandeur doit également examiner les effets du projet sur la santé de ceux qui fréquentent les zones traditionnelles de chasse, de piégeage, de pêche, de cueillette de petits fruits et de plantes médicinales, et établir un lien avec l’élément « Usage des terres et des ressources à des fins traditionnelles ». Comme la définition de la santé humaine renferme la prise en compte du bien-être mental et social, le demandeur doit également prendre en considération les facteurs d’agression pouvant être causés par le projet sur le plan émotif ou social, notamment :
Quand le niveau d’une émission ou d’un rejet d’effluents donné descend sous les seuils fixés ou se situe dans les limites fixées, d’autres mesures d’atténuation peuvent ne pas être nécessaires. Toutefois, là où l’ampleur des changements risque d’être importante, même dans les limites fixées, en raison des conditions locales ou régionales ou de l’envergure du changement, le demandeur doit également proposer des mesures d’atténuation supplémentaires afin de réduire la pollution et les risques futurs sur la santé. L’évaluation de l’impact visuel doit examiner et décrire des facteurs tels que ceux énoncés ci-dessous, sans toutefois s’y limiter :
Dans le cas où les impacts visuels sont des sources de préoccupation, l’évaluation devrait utiliser des méthodes comme la surimposition photographique, les levées ou la modélisation à l’aide d’un système d’information géographique des bassins visuels. Le demandeur doit fournir, le cas échéant, un lien clair vers les sections de la demande qui tiennent compte des éléments biophysiques susceptibles d’avoir des effets sur la santé (p. ex., Environnement acoustique ou Qualité et quantité d’eau). Pour en savoir plus sur l’évaluation des impacts sur la santé humaine et accéder au Guide canadien d’évaluation des incidences sur la santé, consulter Santé Canada. Les données sur les indicateurs de santé sont disponibles auprès de Statistique Canada. |
Infrastructure et services |
|
Exigences de dépôt |
Orientation |
1. Décrire l’infrastructure locale et régionale qui existe dans la zone d’étude, y compris ce qui suit :
2. Décrire les services locaux et régionaux offerts dans l’étude et les effets prévus sur ces services. Inclure une évaluation des effets sur :
3. Décrire les effets d’induction possibles sur les exploitants d’autres éléments d’infrastructure. Dans les cas où ces effets pourraient affecter l’exploitation actuelle, préciser les autorisations à obtenir, les consultations auprès des exploitants potentiellement affectés par le projet et les mesures envisagées pour résoudre leurs préoccupations, le cas échéant. 4. Exposer tout besoin d’effectuer des dépenses publiques afin d’implanter de nouveaux services ou éléments d’infrastructure en raison des effets associés au projet. 5. Décrire toute mesure d’atténuation visant à pallier les effets recensés, y compris tout plan applicable. 6. Dans les endroits où des effets résiduels ont été prévus, indiquer s’ils sont susceptibles de se combiner à ceux d’autres installations matérielles ou activités concrètes et étayer les renseignements ci-dessus, si nécessaire. |
L’évaluation doit examiner, et quantifier si possible, comment les activités associées à la construction et à l’exploitation du projet risquent d’affecter les éléments d’infrastructure et services locaux et régionaux; par exemple :
Les effets sur les éléments mentionnés ci-dessus doivent être évalués dans le contexte :
Le demandeur doit aussi tenir compte des directives locales, provinciales ou territoriales touchant les services d’urgence ou des règlements sur la circulation de véhicules lourds et l’obtention de permis d’accès aux fins de travaux de construction. |
Navigation et sécurité en matière de navigation |
|
Exigences de dépôt |
Orientation |
1. Fournir une liste des voies navigables à l’intérieur, au-dessus, en dessous ou au travers desquelles, ou encore sur lesquelles, le couloir proposé pour la ligne de transport d’électricité pourrait passer, et préciser la méthode de franchissement proposée. 2. Fournir une liste des composantes connexes qui seront construites à l’intérieur, au-dessus, en dessous ou au travers de voies navigables, ou encore sur de telles voies, à l’appui d’un projet de ligne de transport d’électricité (p. ex., des ponts temporaires ou permanents). 3. Fournir une liste des utilisateurs des voies navigables susceptibles d’être touchés et décrire les consultations menées avec l’ensemble des utilisateurs et des communautés autochtones au sujet de la navigation, les questions soulevées et la façon dont elles ont été traitées. 4. Décrire les effets du projet sur la navigation et la sécurité en la matière. 5. Décrire les mesures d’atténuation proposées compte tenu des effets. |
Pour les voies jugées navigables, en présence de projets qui auront des effets sur la navigation et la sécurité en la matière, les demandeurs doivent répertorier les utilisateurs (p. ex., touristes, pourvoyeurs, pêcheurs, kayakistes), les types d’embarcations, la capacité d’informer les utilisateurs de la présence d’obstacles, les effets ou les incidences du projet sur la navigation sur les plans de la sécurité et de la fiabilité, ainsi que les mesures d’atténuation visant à réduire au minimum ou à éliminer les effets du projet sur la navigation et la sécurité en la matière. Les codes qui s’appliquent, comme la norme CSA C22.3 Réseaux aériens, doivent être respectés. |
Emploi et économie |
|
Exigences de dépôt |
Orientation |
1. Décrire la situation locale et régionale de l’emploi dans la zone d’étude. 2. Le cas échéant, décrire les plans locaux et régionaux de formation et de développement de l’emploi. 3. Faire état de l’aptitude et de la capacité des entreprises et des résidents locaux et autochtones à fournir de la main-d’œuvre, de l’équipement, des matériaux, des fournitures et d’autres services à contrat pendant la construction, l’exploitation et l’entretien du projet. 4. Décrire les plans de la société pour encourager la participation des intervenants locaux et autochtones aux possibilités créées en matière d’emploi, d’achats et de contrats. 5. Décrire, le cas échéant, les programmes de formation que le demandeur parraine afin d’accroître les perspectives d’emploi des résidents locaux et autochtones. 6. Fournir une estimation du niveau prévu de la participation économique au projet, à l’échelle locale et régionale, compte tenu des besoins globaux du projet (p. ex., nombre de travailleurs, valeur monétaire totale des contrats). 7. Si le projet est susceptible d’avoir un effet direct sur les recettes fiscales ou autres des administrations fédérale, territoriales, provinciales, régionales ou municipales pendant la construction et l’exploitation, faire une analyse quantitative des effets potentiels. |
L’évaluation devrait inclure un examen quantitatif et qualitatif :
Si possible, indiquer le nombre de travailleurs employés pendant la construction et l’exploitation ainsi que la valeur des contrats conclus; ces données seraient fournies pour chaque mois à l’étape de la construction et de façon annuelle à l’étape de l’exploitation. Dans le cas de projets d’envergure réduite, il suffit de fournir une estimation de la main-d’œuvre ouvrière à l’étape de la construction et de la main–d’œuvre à temps plein à l’étape de l’exploitation. L’évaluation doit aussi décrire les situations où le projet pourrait, directement ou indirectement, causer des difficultés économiques ou entraîner le déplacement de travailleurs ou d’entreprises, y compris toute mesure d’atténuation visant à pallier ces effets. Si le demandeur a préparé un plan des retombées économiques ou a conclu des ententes de collaboration précises avec des collectivités ou des communautés autochtones, fournir un sommaire des engagements pris au chapitre de l’emploi, de la formation et des affaires. |
Droits des peuples autochtones |
|
Exigences de dépôt |
Orientation |
1. Décrire les droits ancestraux et issus de traités des peuples autochtones susceptibles d’être touchés qui sont établis dans la zone du projet. |
Le demandeur devrait décrire, pour chacune des communautés autochtones susceptibles d’être touchées, s’ils sont connus ou sur la foi des renseignements disponibles, les droits ancestraux et les droits issus de traités des peuples autochtones établis dans la zone du projet qui pourraient être affectés par le projet envisagé. Les renseignements fournis sur les droits ancestraux visant la zone du projet devraient être suffisamment complets pour que la Régie puisse connaître et évaluer les effets éventuels du projet proposé sur les droits ancestraux et, s’il y a lieu, envisager des mesures d’atténuation appropriées. Le détail et la profondeur des renseignements sur les effets éventuels du projet sur les droits ancestraux devraient être fonction de l’envergure et de la portée du projet, notamment de ses effets potentiels. Les projets de moindre envergure peuvent avoir des effets potentiels limités et moins étendus ou ne pas nécessiter l’acquisition de nouveaux terrains et pourraient ne pas exiger des renseignements aussi complets. Le demandeur devrait établir un dialogue constructif avec les communautés autochtones susceptibles d’être touchées par le projet, afin de chercher à comprendre les droits ancestraux revendiqués par ces communautés. Il devrait consulter le Guide de mobilisation précoce de la Régie et établir un dialogue constructif avec les communautés autochtones susceptibles d’être touchées par le projet aussitôt que possible dans l’élaboration de ce dernier, afin de laisser assez de temps pour discuter de l’interprétation, des pratiques et des affirmations de chaque communauté relativement à leurs droits, et de bien les comprendre. Lorsqu’une ou plusieurs communautés autochtones n’ont pas fourni de renseignements, ou lorsque les renseignements produits sont considérés comme confidentiels, le demandeur devrait justifier la démarche qu’il a adoptée. Si des communautés autochtones ne souhaitent pas communiquer de renseignements, on encourage le demandeur à de leur transmettre des renseignements et des analyses avec elles sur les effets éventuels du projet, et à recourir aux sources d’information publiques disponibles pour étayer son évaluation. Il voudra peut-être également s’adresser aux ministères ou aux organisations autochtones susceptibles de disposer de renseignements ou de connaissances spécialisées en la matière. On encourage le demandeur à discuter avec les communautés autochtones de leurs points de vue afin que la demande prenne en compte l’évaluation des incidences sur leurs droits. |
2. Décrire comment les peuples autochtones exercent leurs droits ancestraux et leurs droits issus de traités dans la zone du projet. |
Pour décrire les façons dont les peuples autochtones exercent leurs droits, le demandeur devrait collaborer avec les peuples autochtones pour chercher à comprendre les valeurs, pratiques, activités, coutumes et traditions qui sont liées aux droits relevés, et les consigner par écrit. Le demandeur voudra peut-être aussi consulter des sources de renseignements secondaires qui pourraient l’aider à décrire comment les peuples autochtones exercent leurs droits dans la zone du projet, et les consigner par écrit. Lorsqu’il interagit avec des communautés autochtones ou qu’il consulte des sources de renseignements secondaires, le demandeur devrait décrire avec suffisamment de précision comment les droits généraux ou particuliers sont exercés, notamment :
Dans son évaluation des effets, idéalement au début de la conception de la phase d’évaluation, le demandeur devrait relever et incorporer dans son évaluation, les composantes valorisées les plus utiles pour évaluer les effets potentiels du projet sur l’exercice des droits ancestraux. Il devrait également collaborer avec les communautés autochtones pour vérifier les connaissances qui sont communiquées de manière confidentielle et, le cas échéant, protéger leur confidentialité pour éviter qu’elles ne soient divulguées sans autorisation. Il devrait s’efforcer de conclure un accord ou d’observer le protocole établi au sein de la communauté en ce qui concerne les connaissances autochtones. Le demandeur devrait aussi décrire en quoi d’autres renseignements fournis dans sa demande, y compris en ce qui a trait à l’utilisation des terres et des ressources à des fins traditionnelles dans la zone du projet et aux effets sur les ressources patrimoniales ou sur l’environnement, la santé et les facteurs sociaux et économiques, sont utiles et comment ils ont servi à décrire l’exercice des droits ancestraux. Le demandeur peut donc, si cela convient, faire des renvois à l’information dans sa demande ou regrouper celle-ci pour bien décrire la façon dont les droits sont exercés dans la zone du projet, en vue de réduire les répétitions. |
3. Décrire le contexte dans lequel les droits ancestraux et issus de traités sont exercés dans la zone du projet. |
Dans la description des droits exercés dans la zone du projet et des façons dont ils le sont, le demandeur devrait prendre en compte le contexte culturel, social et biophysique dans lequel les droits sont exercés. Il devrait interagir avec les communautés autochtones dans le but de chercher à comprendre, à documenter et à respecter, dans la mesure du possible, les valeurs, traditions et pratiques culturelles sous-jacentes à l’exercice des droits qui sont susceptibles d’être touchés, lorsque ces informations ont été transmises et qu’elles ne sont pas considérées comme confidentielles. Cette mise en contexte devrait prendre en considération, si cela est utile aux fins du projet, des questions comme celles-ci :
|
4. Décrire les effets potentiels du projet sur l’exercice des droits ancestraux et issus de traités dans la zone du projet. |
Sur la foi des renseignements disponibles, le demandeur devrait décrire les effets négatifs éventuels des composantes et des activités concrètes du projet sur l’exercice des droits ancestraux de chaque communauté autochtone susceptible d’être touchée, notamment :
Si des communautés ont fourni des seuils ou des critères exposant les conditions minimales à leur capacité d’exercer de manière valable leurs droits ancestraux, le demandeur devrait faire ce qui suit, s’il y a lieu :
|
5. Décrire les moyens d’action que doit prendre le demandeur pour éviter, réduire ou éliminer les effets négatifs éventuels du projet sur l’exercice des droits ancestraux et issus de traités. Décrire aussi les moyens d’action qui pourraient renforcer ou faciliter l’exercice des droits ancestraux dans la zone du projet. 6. Si des effets subsistent après la mise en place des mesures d’atténuation se rapportant au projet, décrire la nature et l’ampleur de ces effets, y compris leur apport à d’éventuels effets cumulatifs. . |
Décrire les mesures qui, une fois mises en œuvre à l’égard du projet, éviteraient, réduiraient ou élimineraient les effets négatifs éventuels de celui-ci sur l’exercice des droits ancestraux. Ces mesures doivent expliquer clairement comment le demandeur entend les mettre en œuvre Le demandeur devrait s’assurer de décrire ce qui suit :
Le cas échéant, le demandeur devrait inclure les suggestions ou recommandations de mesures d’atténuation précises formulées par les communautés autochtones susceptibles d’être touchées en vue de prendre en compte ces effets du projet sur elles. Il devrait aussi décrire les réponses qu’il a données, le cas échéant, aux points de vue exprimés par les communautés autochtones susceptibles d’être touchées. Le demandeur devrait aussi prendre en considération les moyens d’action qui peuvent être pris relativement au projet et qui facilitent, améliorent ou favorisent l’exercice des droits ancestraux. Si ces moyens d’action sont décrits ailleurs dans la demande (par exemple des mesures reliées à l’emploi, aux achats ou à la surveillance), un renvoi devrait être donné ou les moyens d’action, regroupés. Si de tels moyens d’action sont proposés, le demandeur devrait expliquer s’ils ont fait l’objet de pourparlers avec les communautés autochtones susceptibles d’être touchées par le projet et faire état des commentaires ou recommandations formulées par ces mêmes communautés, ou de tout accord conclu avec elles, en précisant les avantages ou les mesures compensatoires se rattachant au projet. |
- Date de modification :